Официальное опубликование правовых актов
ОФИЦИАЛЬНОЕ ОПУБЛИКОВАНИЕ
Приказ Комитета по культуре Ленинградской области от 10.12.2018 № 01-03/18-439
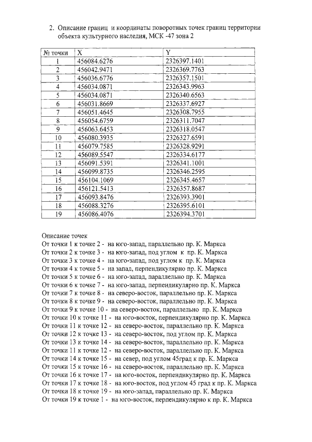
"Об установлении границ территории объекта культурного наследия регионального значения "Ансамбль церквей Климента с колокольней и Спаса Нерукотворного, XVIII в.", местонахождение: Ленинградская область, Волховский муниципальный район, МО Новоладожское городское поселение, г. Новая Ладога, проспект Карла Маркса, д. 41 А, и признании утратившим силу приказа комитета по культуре Ленинградской области от 13 сентября 2018 года № 01-03/18-132 "Об утверждении границ территории объекта культурного наследия регионального значения "Ансамбль церквей Климента с колокольней и Спаса Нерукотворного, XVIII в.", расположенного по адресу: Ленинградская область, Волховский муниципальный район, МО Новоладожское городское поселение, г. Новая Ладога, проспект Карла Маркса, д. 41а."
Номер опубликования: 4701201812190023
Дата опубликования: 19.12.2018
Страница №4 из 5:
Увеличить