Приказ Комитета по тарифам и ценовой политике Ленинградской области от 07.12.2018 № 349-п
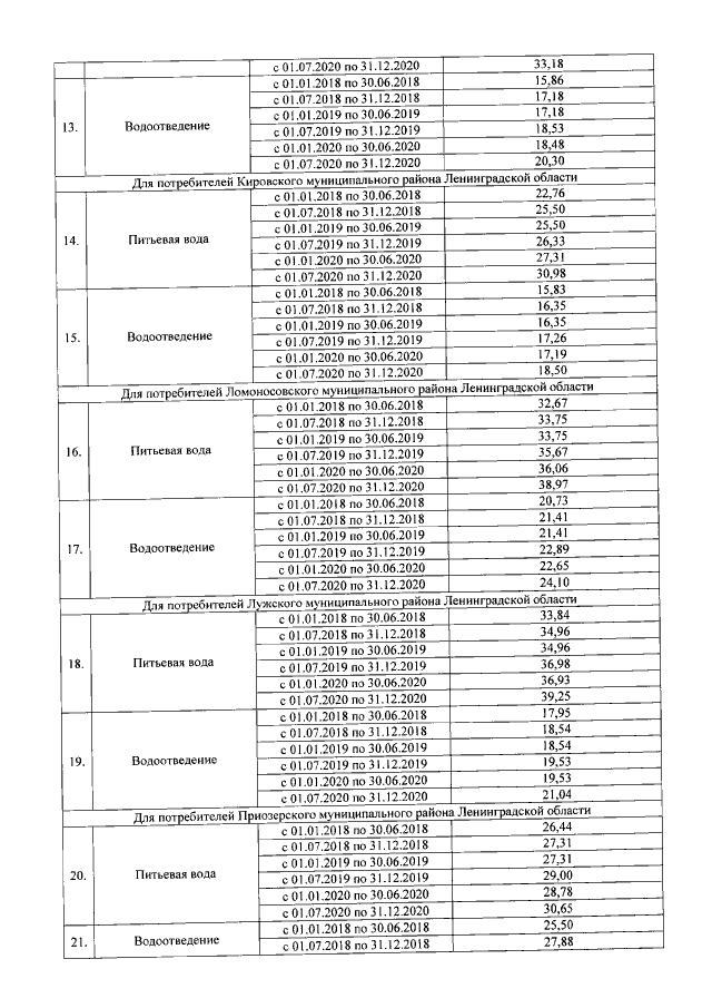
"О внесении изменений в приказ комитета по тарифам и ценовой политике Ленинградской области от 19 декабря 2017 года № 500-п "Об установлении тарифов на питьевую воду и водоотведение федерального государственного бюджетного учреждения "Центральное жилищно-коммунальное управление" Министерства обороны Российской Федерации на 2018-2020 годы"
"О внесении изменений в приказ комитета по тарифам и ценовой политике Ленинградской области от 19 декабря 2017 года № 500-п "Об установлении тарифов на питьевую воду и водоотведение федерального государственного бюджетного учреждения "Центральное жилищно-коммунальное управление" Министерства обороны Российской Федерации на 2018-2020 годы"
Номер опубликования: 4701201812140072
Дата опубликования:
14.12.2018
