Официальное опубликование правовых актов
ОФИЦИАЛЬНОЕ ОПУБЛИКОВАНИЕ
Приказ Комитета по культуре Ленинградской области от 05.12.2018 № 01-03/18-424
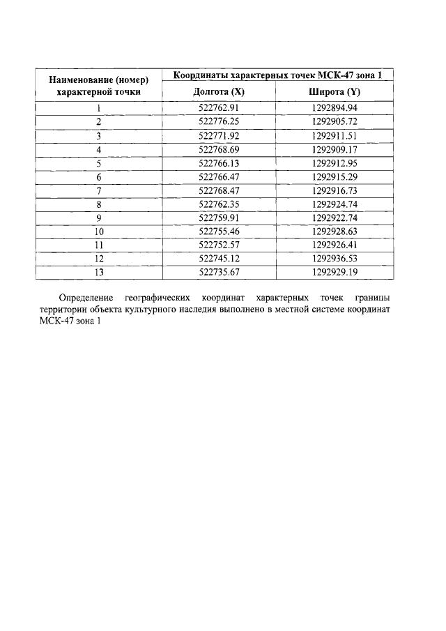
"Об установлении границ территории объекта культурного наследия федерального значения "Жилой дом" по адресу: Ленинградская область г. Выборг, ул. Крепостная, д. 13а"
Номер опубликования: 4701201812140016
Дата опубликования: 14.12.2018
Страница №5 из 7:
Увеличить