Приказ Комитета по культуре Ленинградской области от 05.12.2018 № 01-03/18-425
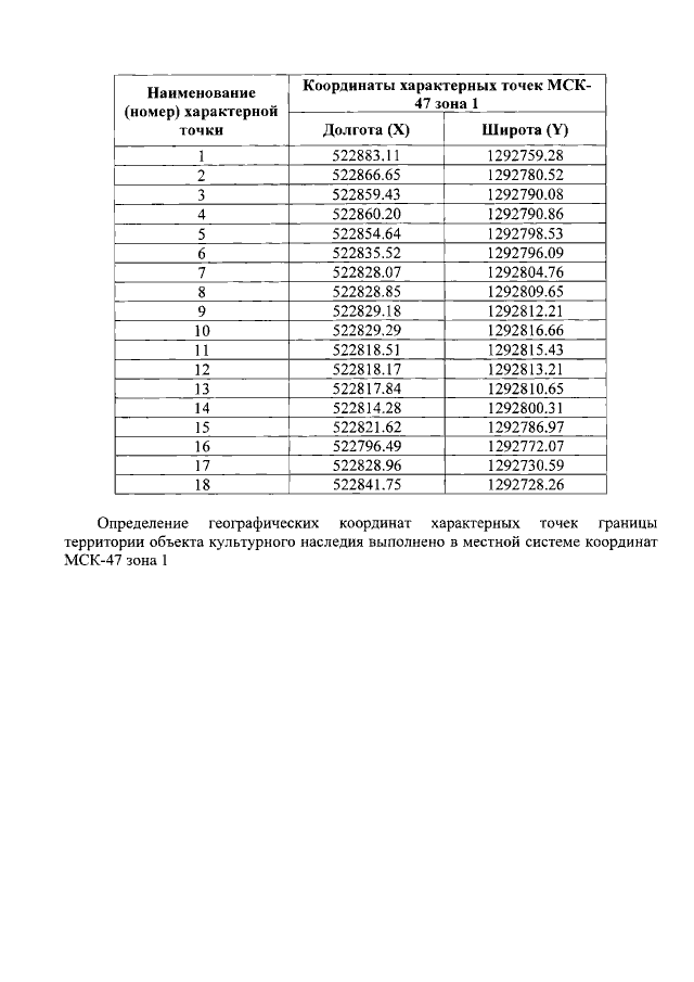
"Об установлении границ территории объекта культурного наследия федерального значения "Часовая башня" по адресу: Ленинградская область г. Выборг, ул. Крепостная, д. 5а"
"Об установлении границ территории объекта культурного наследия федерального значения "Часовая башня" по адресу: Ленинградская область г. Выборг, ул. Крепостная, д. 5а"
Номер опубликования: 4701201812140015
Дата опубликования:
14.12.2018
