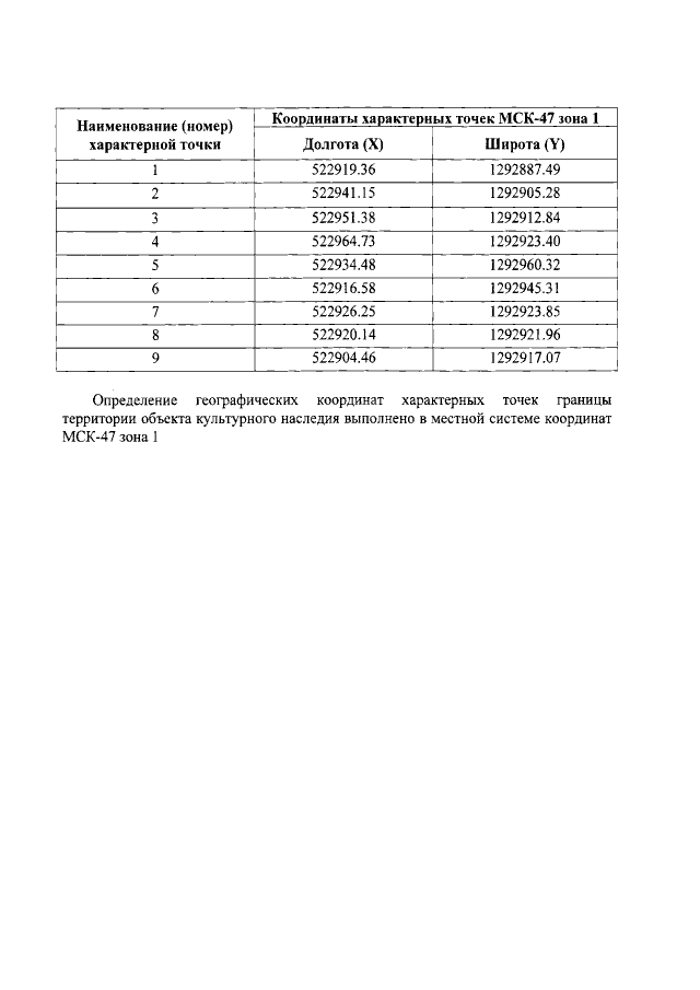
Приказ Комитета по культуре Ленинградской области от 05.12.2018 № 01-03/18-419
"Об установлении границ территории объекта культурного наследия федерального значения "Жилой дом" по адресу: Ленинградская область г. Выборг, ул. Водной заставы, д. 5"
"Об установлении границ территории объекта культурного наследия федерального значения "Жилой дом" по адресу: Ленинградская область г. Выборг, ул. Водной заставы, д. 5"
Номер опубликования: 4701201812140011
Дата опубликования:
14.12.2018
