Официальное опубликование правовых актов
ОФИЦИАЛЬНОЕ ОПУБЛИКОВАНИЕ
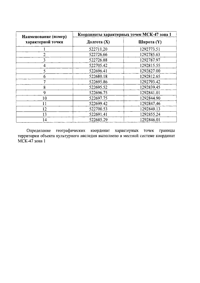
Приказ Комитета по культуре Ленинградской области от 05.12.2018 № 01-03/18-426
"Об установлении границ территории объекта культурного наследия федерального значения "Дом купеческой гильдии и жилой дом" по адресу: Ленинградская область г. Выборг, ул. Выборгская, 8, 8в"
Номер опубликования: 4701201812140003
Дата опубликования: 14.12.2018
Страница №5 из 7:
Увеличить