Официальное опубликование правовых актов
ОФИЦИАЛЬНОЕ ОПУБЛИКОВАНИЕ
Приказ Комитета по культуре Ленинградской области от 30.11.2018 № 01-03/18-368
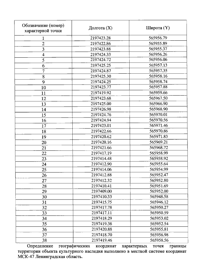
"Об установлении границ территории и предмета охраны объекта культурного наследия регионального значения "Памятный знак–стела воинам–ополченцам, на рубеже обороны северных подступов г. Приозерска в 1941 г." по адресу: Ленинградская область, Приозерский муниципальный район, Приозерское городское поселение, п. Бригадное, на 13 км Сортавальского шоссе"
Номер опубликования: 4701201812070009
Дата опубликования: 07.12.2018
Страница №6 из 9:
Увеличить