Официальное опубликование правовых актов
ОФИЦИАЛЬНОЕ ОПУБЛИКОВАНИЕ
Приказ Комитета по культуре Ленинградской области от 02.08.2018 № 01-03/18-99
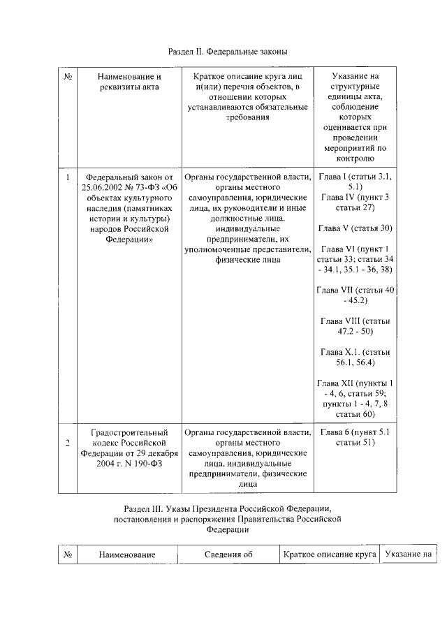
"Об утверждении перечня нормативных правовых актов и их отдельных частей (положений), содержащих обязательные требования, соблюдение которых оценивается при проведении комитетом по культуре Ленинградской области мероприятий по контролю в рамках осуществление регионального государственного надзора за состоянием, содержанием, сохранением, использованием, популяризацией и государственной охраной объектов культурного наследия регионального значения, объектов культурного наследия местного (муниципального) значения, выявленных объектов культурного наследия"
Номер опубликования: 4701201808070001
Дата опубликования: 07.08.2018
Страница №3 из 6:
Увеличить