Официальное опубликование правовых актов
ОФИЦИАЛЬНОЕ ОПУБЛИКОВАНИЕ
Приказ Комитета по культуре Ленинградской области от 19.04.2018 № 01-03/18-47
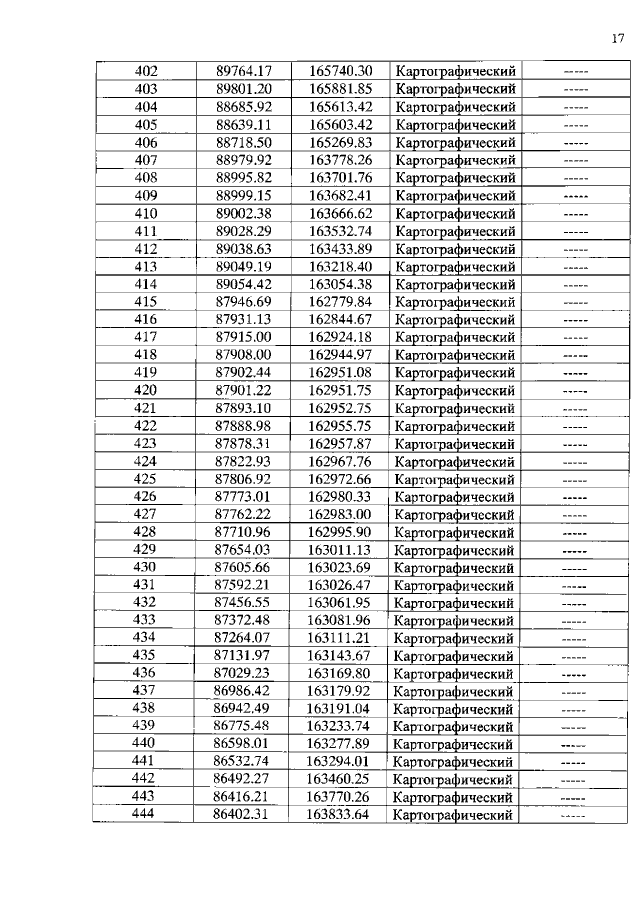
"Об установлении границ территории, требований к осуществлению деятельности и требований к градостроительным регламентам в границах территории объекта культурного наследия регионального значения - достопримечательного места "Военно-мемориальная зона "Прорыв блокады Ленинграда, 1941-1944 гг."
Номер опубликования: 4701201804250003
Дата опубликования: 25.04.2018
Страница №17 из 85:
Увеличить