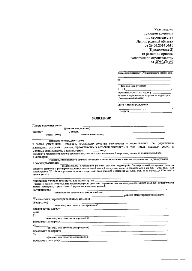
Приказ Комитета по строительству Ленинградской области от 12.02.2018 № 03
"О внесении изменений в приказ комитета по строительству Ленинградской области от 26.06.2014 № 10 "О порядке и условиях предоставления в Ленинградской области социальных выплат на улучшение жилищных условий граждан, проживающих в сельской местности, в том числе молодых семей и молодых специалистов"
"О внесении изменений в приказ комитета по строительству Ленинградской области от 26.06.2014 № 10 "О порядке и условиях предоставления в Ленинградской области социальных выплат на улучшение жилищных условий граждан, проживающих в сельской местности, в том числе молодых семей и молодых специалистов"
Номер опубликования: 4701201802140006
Дата опубликования:
14.02.2018
