Официальное опубликование правовых актов
ОФИЦИАЛЬНОЕ ОПУБЛИКОВАНИЕ
Приказ Комитета по социальной защите населения Ленинградской области от 19.01.2018 № 2
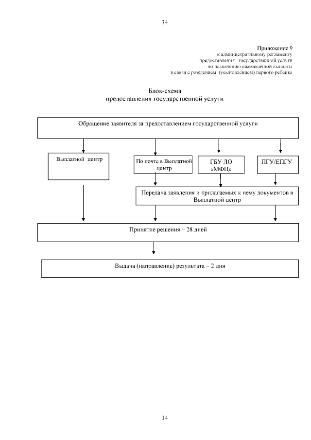
"Об утверждении административного регламента предоставления на территории Ленинградской области государственной услуги по назначению ежемесячной выплаты в связи с рождением (усыновлением) первого ребенка"
Номер опубликования: 4701201801260006
Дата опубликования: 26.01.2018
Страница №34 из 34:
Увеличить