Официальное опубликование правовых актов
ОФИЦИАЛЬНОЕ ОПУБЛИКОВАНИЕ
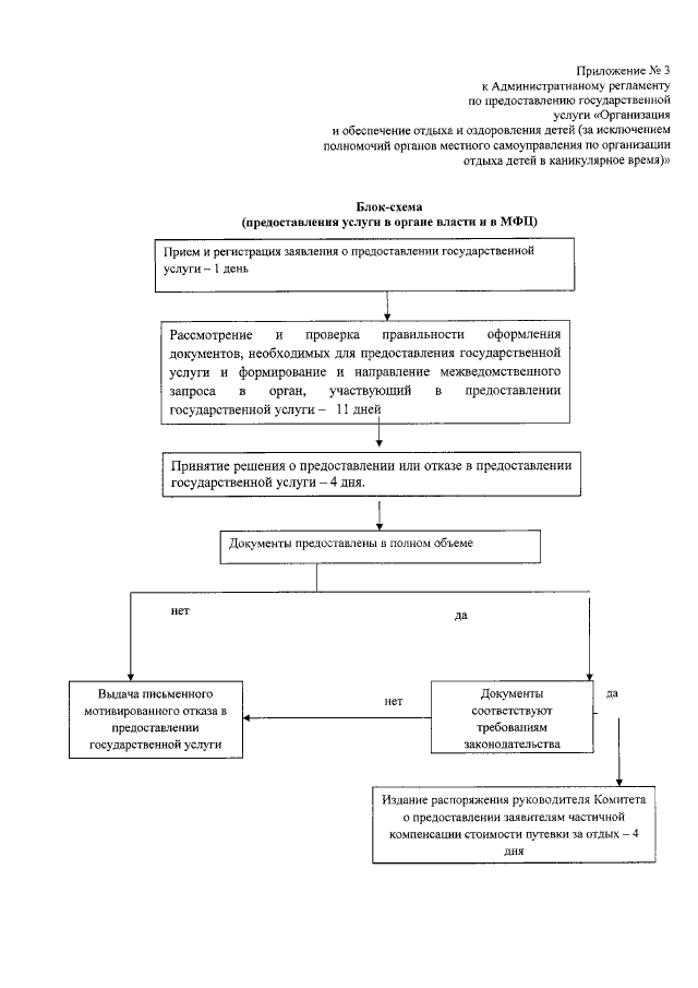
Приказ Комитета общего и профессионального образования Ленинградской области от 16.01.2018 № 05
"Об утверждении административного регламента предоставления комитетом общего и профессионального образования Ленинградской области государственной услуги "Организация и обеспечение отдыха и оздоровления детей (за исключением полномочий органов местного самоуправления по организации отдыха детей в каникулярное время)"
Номер опубликования: 4701201801230005
Дата опубликования: 23.01.2018
Страница №25 из 26:
Увеличить