Официальное опубликование правовых актов
ОФИЦИАЛЬНОЕ ОПУБЛИКОВАНИЕ
Приказ Ленинградского областного комитета по управлению государственным имуществом от 03.10.2017 № 44
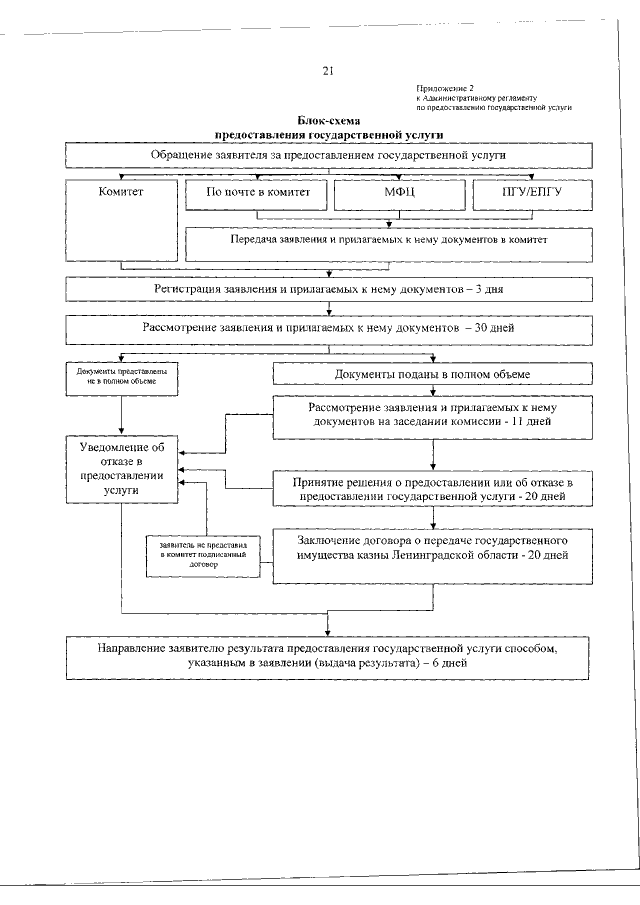
"О внесении изменений в приказ Ленинградского областного комитета по управлению государственным имуществом от 12 декабря 2013 года № 31 "Об утверждении административного регламента по предоставлению государственной услуги "Передача в аренду, безвозмездное пользование, доверительное управление государственного имущества казны Ленинградской области"
Номер опубликования: 4701201710090002
Дата опубликования: 09.10.2017
Страница №23 из 24:
Увеличить