Официальное опубликование правовых актов
ОФИЦИАЛЬНОЕ ОПУБЛИКОВАНИЕ
Приказ Ленинградского областного комитета по управлению государственным имуществом от 29.08.2017 № 31
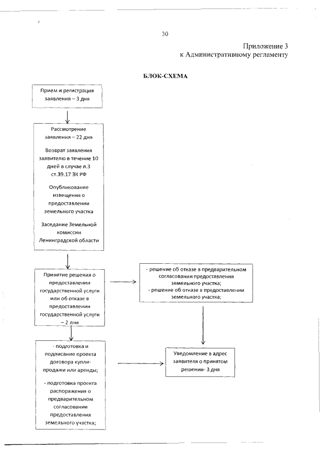
"Об утверждении административного регламента по предоставлению государственной услуги "Продажа и предоставление в аренду земельных участков, находящихся в государственной собственности Ленинградской области, гражданам, крестьянским (фермерским) хозяйствам для осуществления крестьянским (фермерским) хозяйством его деятельности, а также сельскохозяйственным организациям и крестьянским (фермерским) хозяйствам, участвующим в программах государственной поддержки в сфере развития сельского хозяйства"
Номер опубликования: 4701201709010007
Дата опубликования: 01.09.2017
Страница №32 из 32:
Увеличить