Официальное опубликование правовых актов
ОФИЦИАЛЬНОЕ ОПУБЛИКОВАНИЕ
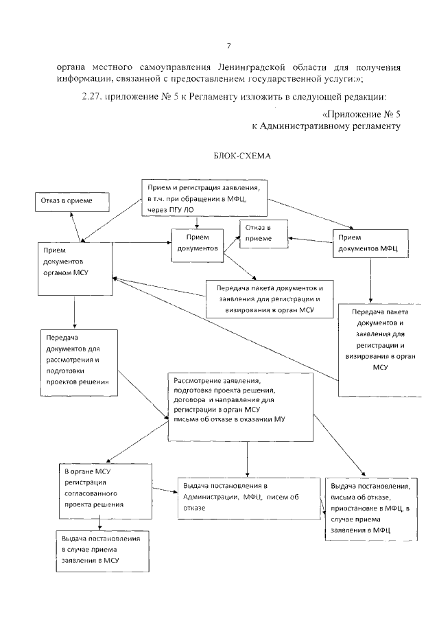
Приказ Ленинградского областного комитета по управлению государственным имуществом от 08.12.2016 № 45
"О внесении изменений в приказ Ленинградского областного комитета по управлению государственным имуществом от 30 сентября 2016 года № 28 "Об утверждении Административного регламента по предоставлению государственной услуги "Установление сервитута в отношении земельного участка, государственная собственность на который не разграничена, расположенного на территории МО "_____________"
Номер опубликования: 4701201612130007
Дата опубликования: 13.12.2016
Страница №7 из 8:
Увеличить