Официальное опубликование правовых актов
ОФИЦИАЛЬНОЕ ОПУБЛИКОВАНИЕ
Приказ Комитета по социальной защите населения Ленинградской области от 13.04.2016 № 12
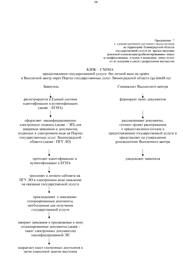
"О внесении изменений в приказ комитета по социальной защите населения Ленинградской области от 31 августа 2015 года № 13 "Об утверждении административного регламента предоставления на территории Ленинградской области государственной услуги по предоставлению денежной компенсации реабилитированным лицам за конфискованное, изъятое и вышедшее иным путем из их владения в связи с репрессиями имущество"
Номер опубликования: 4701201604150001
Дата опубликования: 15.04.2016
Страница №34 из 36:
Увеличить