Официальное опубликование правовых актов
ОФИЦИАЛЬНОЕ ОПУБЛИКОВАНИЕ
Приказ Комитета по социальной защите населения Ленинградской области от 26.12.2015 № 32
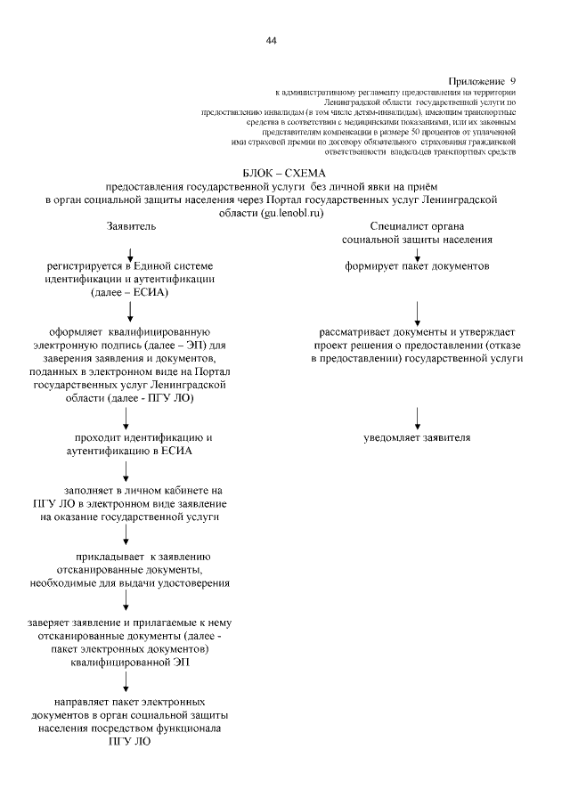
"О внесении изменений в приказ комитета по социальной защите населения Ленинградской области от 29 декабря 2014 года № 42 "Об утверждении административного регламента предоставления на территории Ленинградской области государственной услуги по предоставлению инвалидам (в том числе детям-инвалидам), имеющим транспортные средства в соответствии с медицинскими показаниями, или их законным представителям компенсации в размере 50 процентов от уплаченной ими страховой премии по договору обязательного страхования гражданской ответственности владельцев транспортных средств"
Номер опубликования: 4701201512310011
Дата опубликования: 31.12.2015
Страница №44 из 46:
Увеличить