Официальное опубликование правовых актов
ОФИЦИАЛЬНОЕ ОПУБЛИКОВАНИЕ
Приказ Комитета по социальной защите населения Ленинградской области от 26.12.2015 № 35
"О внесении изменений в приказ комитета по социальной защите населения Ленинградской области от 10 августа 2015 года № 10 "Об утверждении административных регламентов предоставления на территории Ленинградской области государственных услуг по предоставлению гражданам, подвергшимся воздействию радиации, компенсаций и иных выплат (с изменениями)"
Номер опубликования: 4701201512310009
Дата опубликования: 31.12.2015
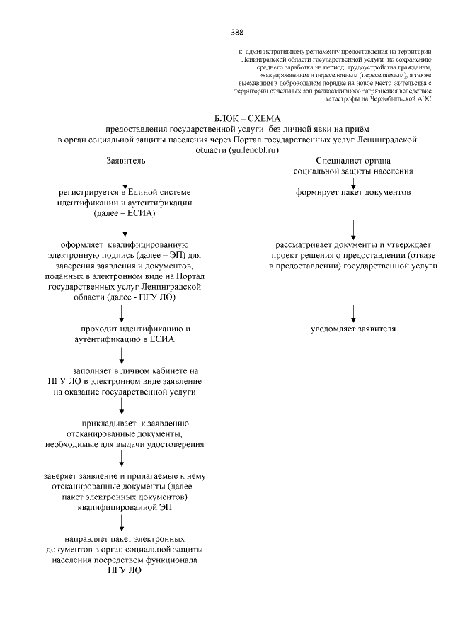
Страница №388 из 558:
Увеличить