Официальное опубликование правовых актов
ОФИЦИАЛЬНОЕ ОПУБЛИКОВАНИЕ
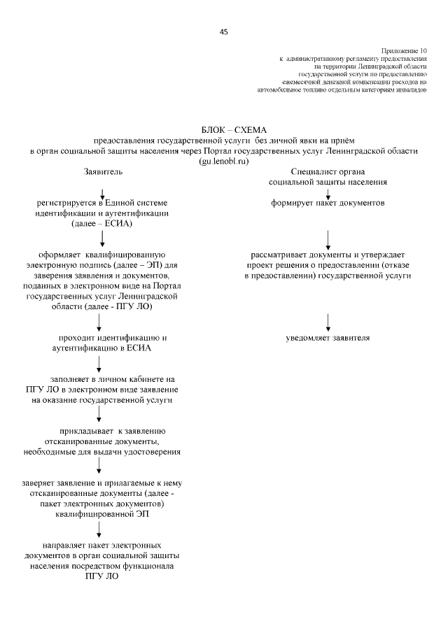
Приказ Комитета по социальной защите населения Ленинградской области от 26.12.2015 № 33
"О внесении изменений в приказ комитета по социальной защите населения Ленинградской области от 6 июля 2015 года № 7 "Об утверждении административного регламента предоставления на территории Ленинградской области государственной услуги по предоставлению ежемесячной денежной компенсации расходов на автомобильное топливо отдельным категориям инвалидов"
Номер опубликования: 4701201512310001
Дата опубликования: 31.12.2015
Страница №45 из 47:
Увеличить