Официальное опубликование правовых актов
ОФИЦИАЛЬНОЕ ОПУБЛИКОВАНИЕ
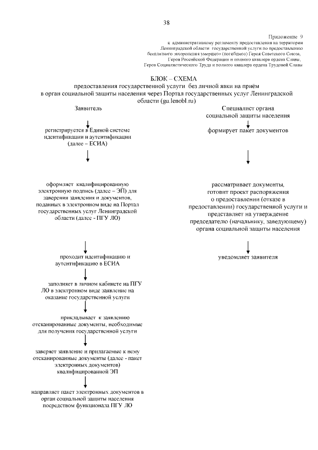
Приказ Комитета по социальной защите населения Ленинградской области от 31.08.2015 № 15
"Об утверждении административных регламентов предоставления на территории Ленинградской области государственных услуг по предоставлению социальных гарантий Героям Советского Союза, Героям Российской Федерации, полным кавалерам ордена Славы, Героям Социалистического Труда и полным кавалерам ордена Трудовой Славы"
Номер опубликования: 4701201509040006
Дата опубликования: 04.09.2015
Страница №121 из 200:
Увеличить