Официальное опубликование правовых актов
ОФИЦИАЛЬНОЕ ОПУБЛИКОВАНИЕ
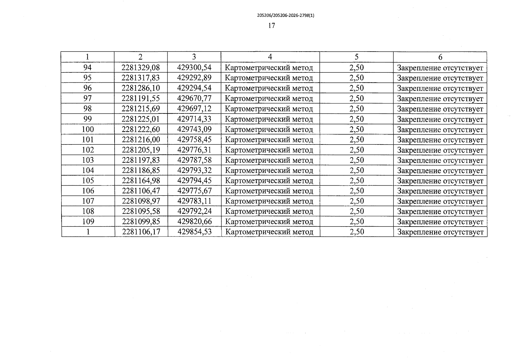
Постановление Правительства Ленинградской области от 06.04.2026 № 265
"О создании особо охраняемой природной территории регионального значения Ленинградской области "Памятник природы регионального значения "Петровщинская лиственничная роща"
Номер опубликования: 4700202604130001
Дата опубликования: 13.04.2026
Страница №18 из 20:
Увеличить