Официальное опубликование правовых актов
ОФИЦИАЛЬНОЕ ОПУБЛИКОВАНИЕ
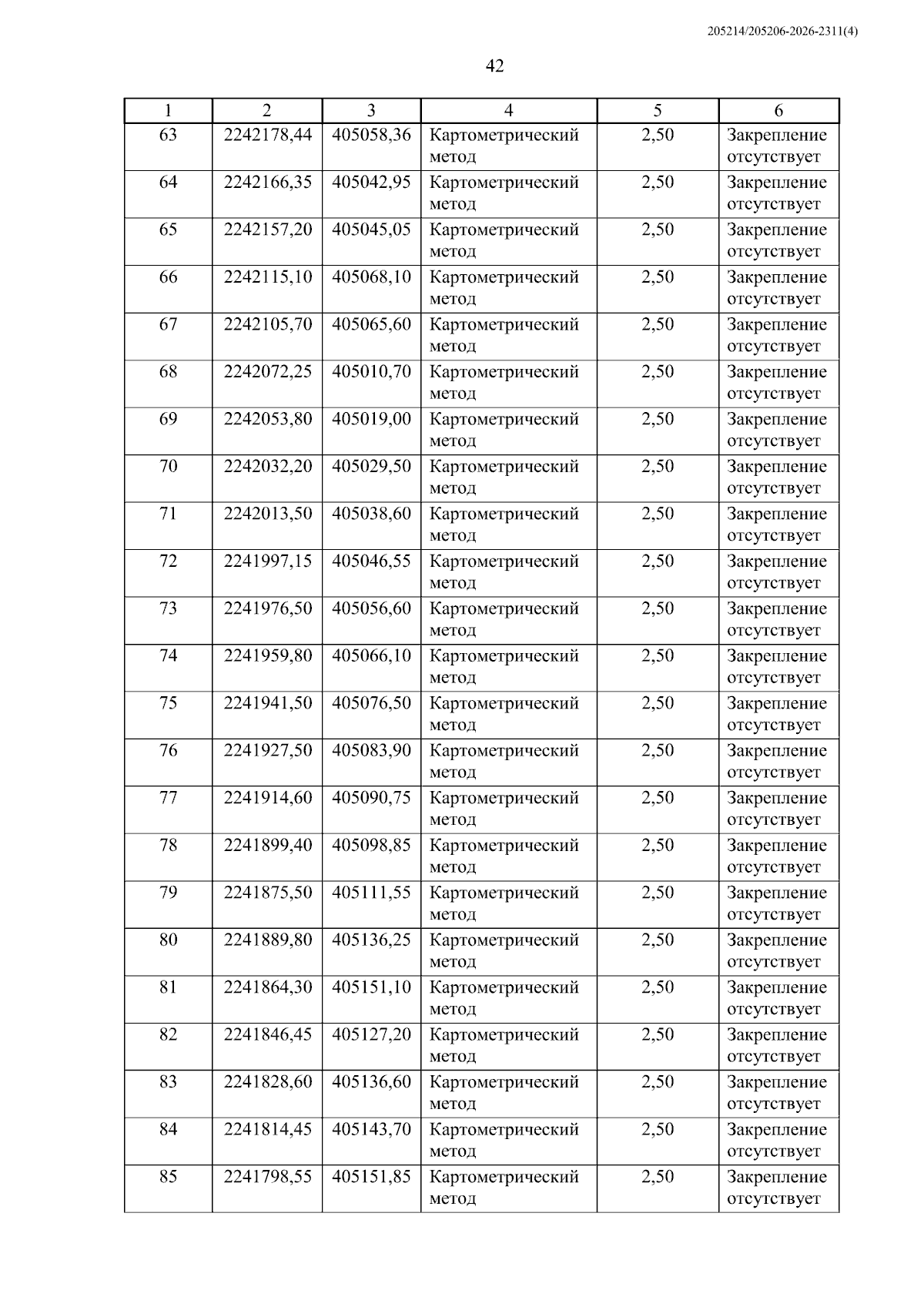
Постановление Губернатора Ленинградской области от 19.03.2026 № 30-пг
"О создании охранной зоны памятника природы регионального значения "Саблинский"
Номер опубликования: 4700202603230018
Дата опубликования: 23.03.2026
Страница №43 из 85:
Увеличить