Официальное опубликование правовых актов
ОФИЦИАЛЬНОЕ ОПУБЛИКОВАНИЕ
Постановление Правительства Ленинградской области от 17.03.2026 № 212
"Об утверждении Генерального плана муниципального образования Ганьковское сельское поселение Тихвинского муниципального района Ленинградской области"
Номер опубликования: 4700202603230001
Дата опубликования: 23.03.2026
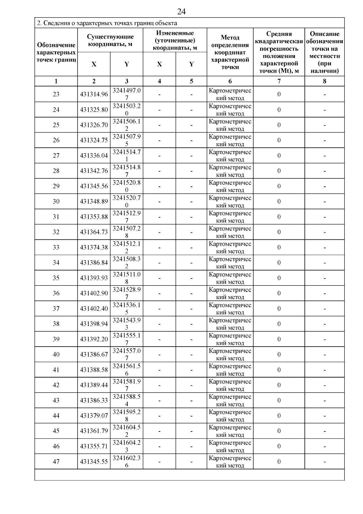
Страница №49 из 364:
Увеличить