Официальное опубликование правовых актов
ОФИЦИАЛЬНОЕ ОПУБЛИКОВАНИЕ
Постановление Правительства Ленинградской области от 27.02.2026 № 156
"О внесении изменений в Генеральный план муниципального образования "Агалатовское сельское поселение" Всеволожского муниципального района Ленинградской области применительно к деревне Скотное"
Номер опубликования: 4700202603040009
Дата опубликования: 04.03.2026
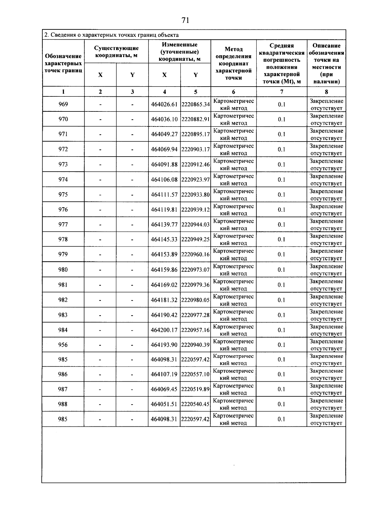
Страница №96 из 98:
Увеличить