Официальное опубликование правовых актов
ОФИЦИАЛЬНОЕ ОПУБЛИКОВАНИЕ
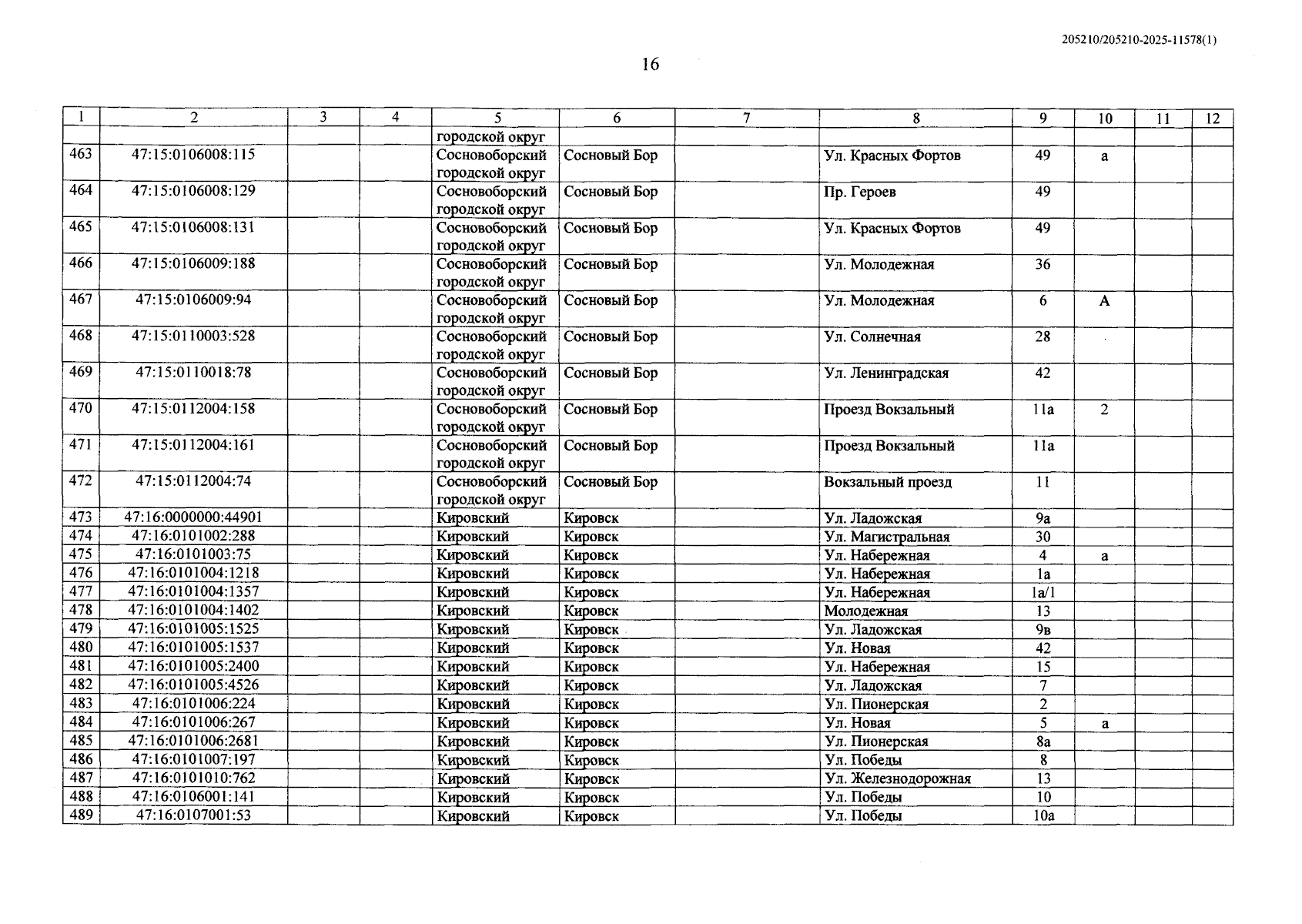
Постановление Правительства Ленинградской области от 19.12.2025 № 1065
"Об определении Перечня зданий (строений, сооружений) и помещений в них, в отношении которых налоговая база определяется как кадастровая стоимость, на 2026 год"
Номер опубликования: 4700202512250007
Дата опубликования: 25.12.2025
Страница №17 из 27:
Увеличить