Официальное опубликование правовых актов
ОФИЦИАЛЬНОЕ ОПУБЛИКОВАНИЕ
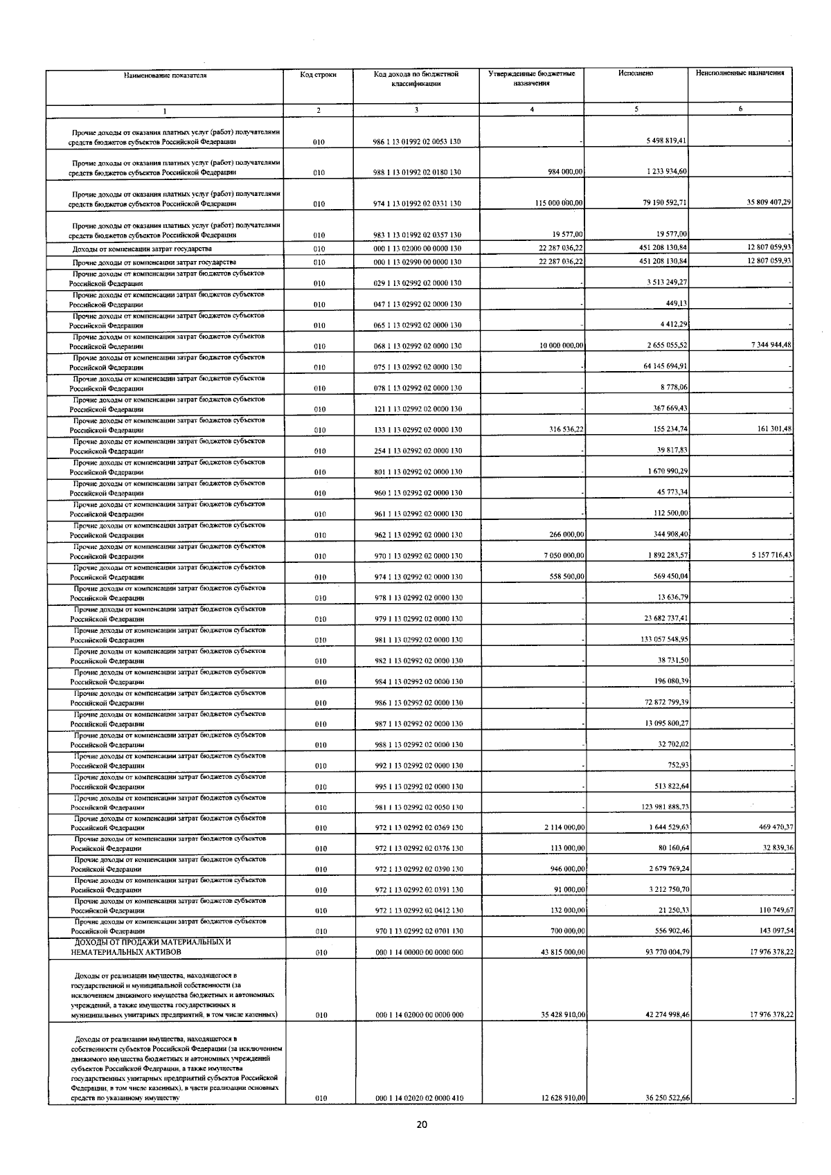
Постановление Правительства Ленинградской области от 17.11.2025 № 958
"Об исполнении областного бюджета Ленинградской области за девять месяцев 2025 года"
Номер опубликования: 4700202511240004
Дата опубликования: 24.11.2025
Страница №21 из 169:
Увеличить