Официальное опубликование правовых актов
ОФИЦИАЛЬНОЕ ОПУБЛИКОВАНИЕ
Постановление Правительства Ленинградской области от 26.05.2025 № 466
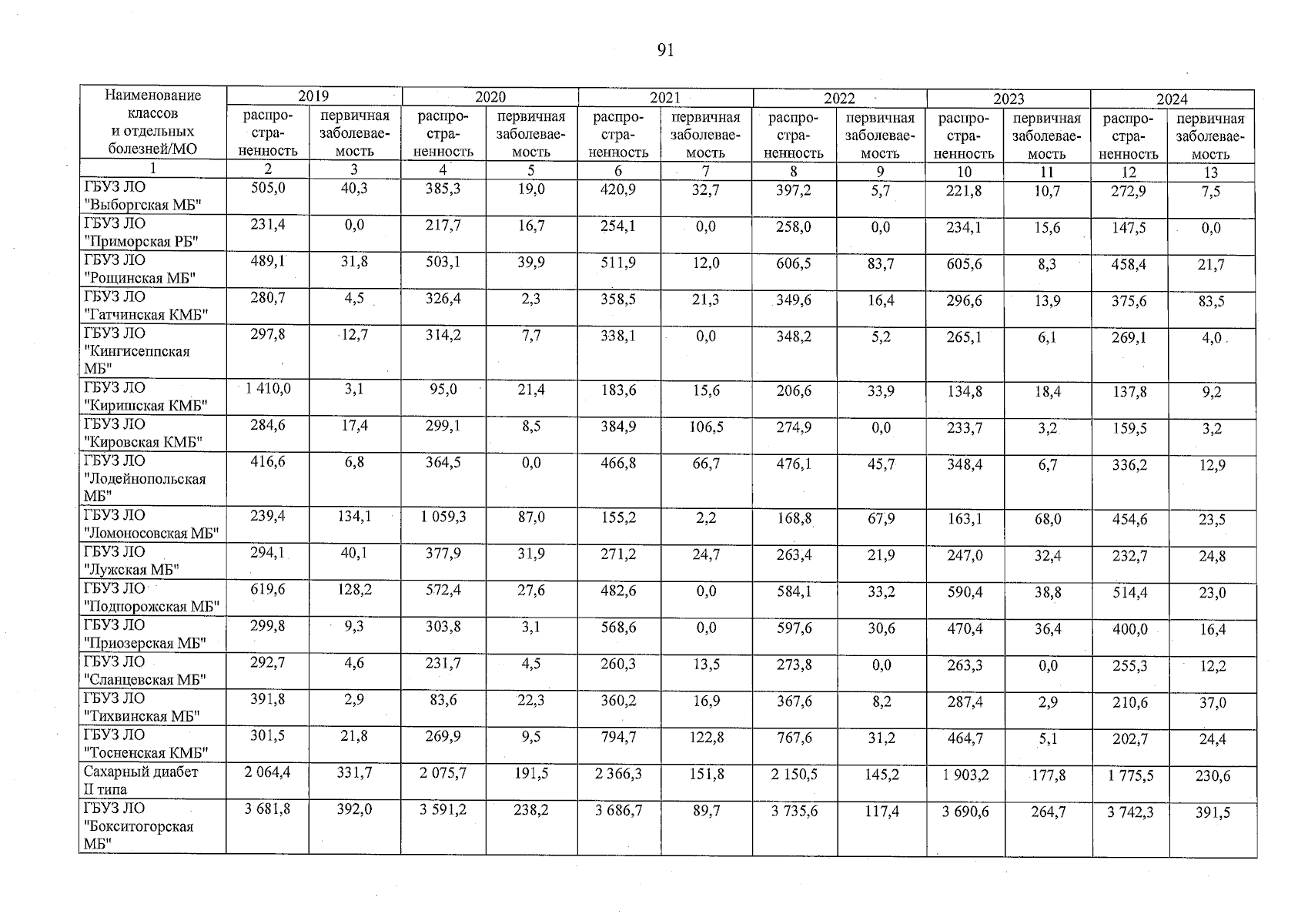
"О внесении изменения в постановление Правительства Ленинградской области от 16 февраля 2024 года № 112 "Об утверждении региональной программы Ленинградской области "Борьба с сахарным диабетом"
Номер опубликования: 4700202506040004
Дата опубликования: 04.06.2025
Страница №92 из 189:
Увеличить