Постановление Правительства Ленинградской области от 31.03.2025 № 294
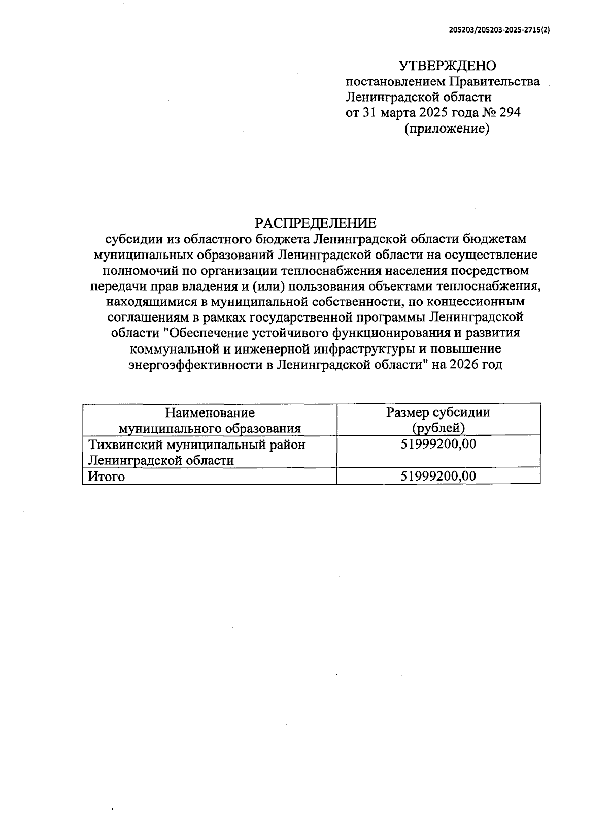
"О распределении субсидии из областного бюджета Ленинградской области бюджетам муниципальных образований Ленинградской области на осуществление полномочий по организации теплоснабжения населения посредством передачи прав владения и (или) пользования объектами теплоснабжения, находящимися в муниципальной собственности, по концессионным соглашениям в рамках государственной программы Ленинградской области "Обеспечение устойчивого функционирования и развития коммунальной и инженерной инфраструктуры и повышение энергоэффективности в Ленинградской области" на 2026 год"
"О распределении субсидии из областного бюджета Ленинградской области бюджетам муниципальных образований Ленинградской области на осуществление полномочий по организации теплоснабжения населения посредством передачи прав владения и (или) пользования объектами теплоснабжения, находящимися в муниципальной собственности, по концессионным соглашениям в рамках государственной программы Ленинградской области "Обеспечение устойчивого функционирования и развития коммунальной и инженерной инфраструктуры и повышение энергоэффективности в Ленинградской области" на 2026 год"
Номер опубликования: 4700202504070016
Дата опубликования:
07.04.2025
