Официальное опубликование правовых актов
ОФИЦИАЛЬНОЕ ОПУБЛИКОВАНИЕ
Постановление Губернатора Ленинградской области от 26.02.2025 № 26-пг
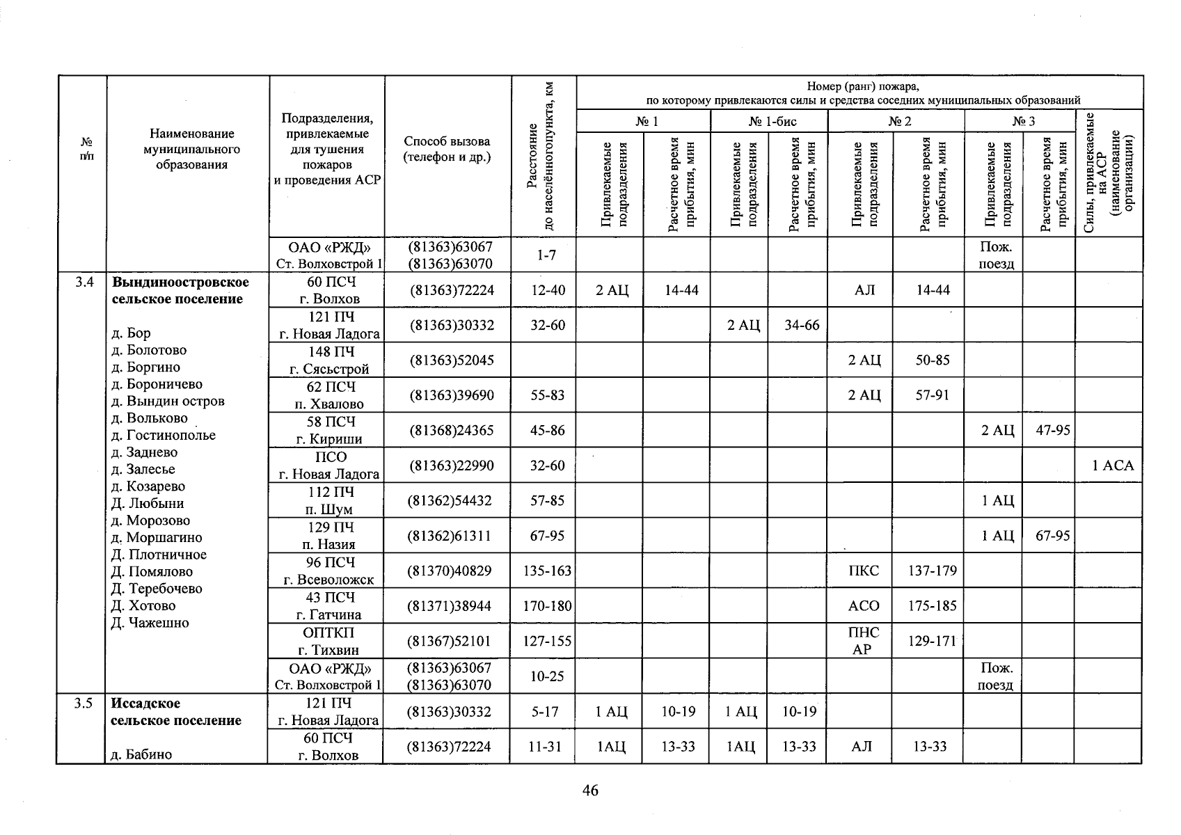
"Об утверждении Плана привлечения сил и средств территориального пожарно-спасательного гарнизона Ленинградской области для тушения пожаров и проведения аварийно-спасательных работ на территории Ленинградской области"
Номер опубликования: 4700202503060001
Дата опубликования: 06.03.2025
Страница №47 из 459:
Увеличить