Официальное опубликование правовых актов
ОФИЦИАЛЬНОЕ ОПУБЛИКОВАНИЕ
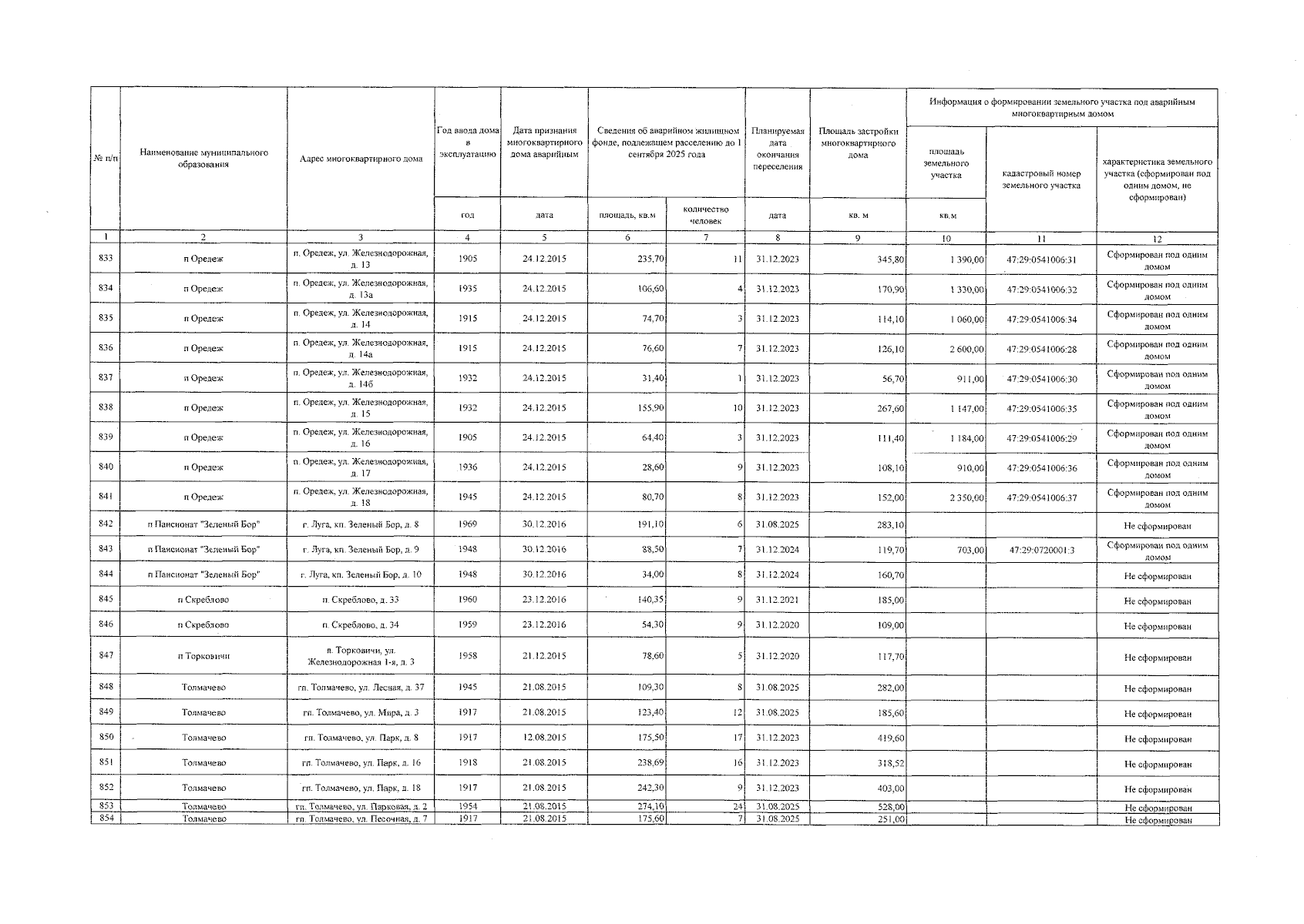
Постановление Правительства Ленинградской области от 29.01.2025 № 77
"О внесении изменений в постановление Правительства Ленинградской области от 14 июля 2023 года № 497 "Об утверждении региональной адресной программы "Переселение граждан из аварийного жилищного фонда на территории Ленинградской области в 2019 – 2025 годах" и признании утратившими силу отдельных постановлений Правительства Ленинградской области"
Номер опубликования: 4700202502040004
Дата опубликования: 04.02.2025
Страница №58 из 94:
Увеличить