Официальное опубликование правовых актов
ОФИЦИАЛЬНОЕ ОПУБЛИКОВАНИЕ
Постановление Правительства Ленинградской области от 27.12.2024 № 995
"О создании особо охраняемой природной территории регионального значения Ленинградской области "Государственный природный комплексный заказник регионального значения "Поддубно-Кусегский"
Номер опубликования: 4700202412300008
Дата опубликования: 30.12.2024
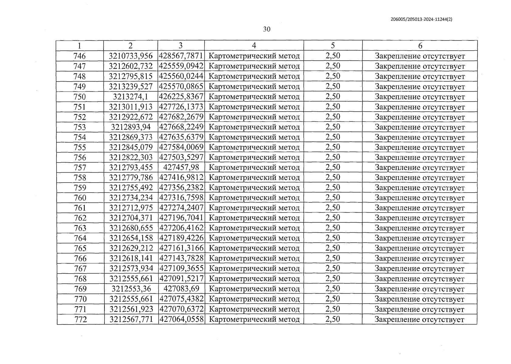
Страница №44 из 53:
Увеличить