Постановление Правительства Ленинградской области от 26.12.2024 № 984
"О внесении изменения в постановление Правительства Ленинградской области от 23 ноября 2021 года № 745 "Об утверждении детализированного перечня мероприятий, реализуемых в рамках инфраструктурных проектов Ленинградской области, отобранных в соответствии с постановлением Правительства Российской Федерации от 14 июля 2021 года № 1189 "Об утверждении Правил отбора инфраструктурных проектов, источником финансового обеспечения расходов на реализацию которых являются бюджетные кредиты из федерального бюджета бюджетам субъектов Российской Федерации на финансовое обеспечение реализации инфраструктурных проектов, и о внесении изменений в Положение о Правительственной комиссии по региональному развитию в Российской Федерации"
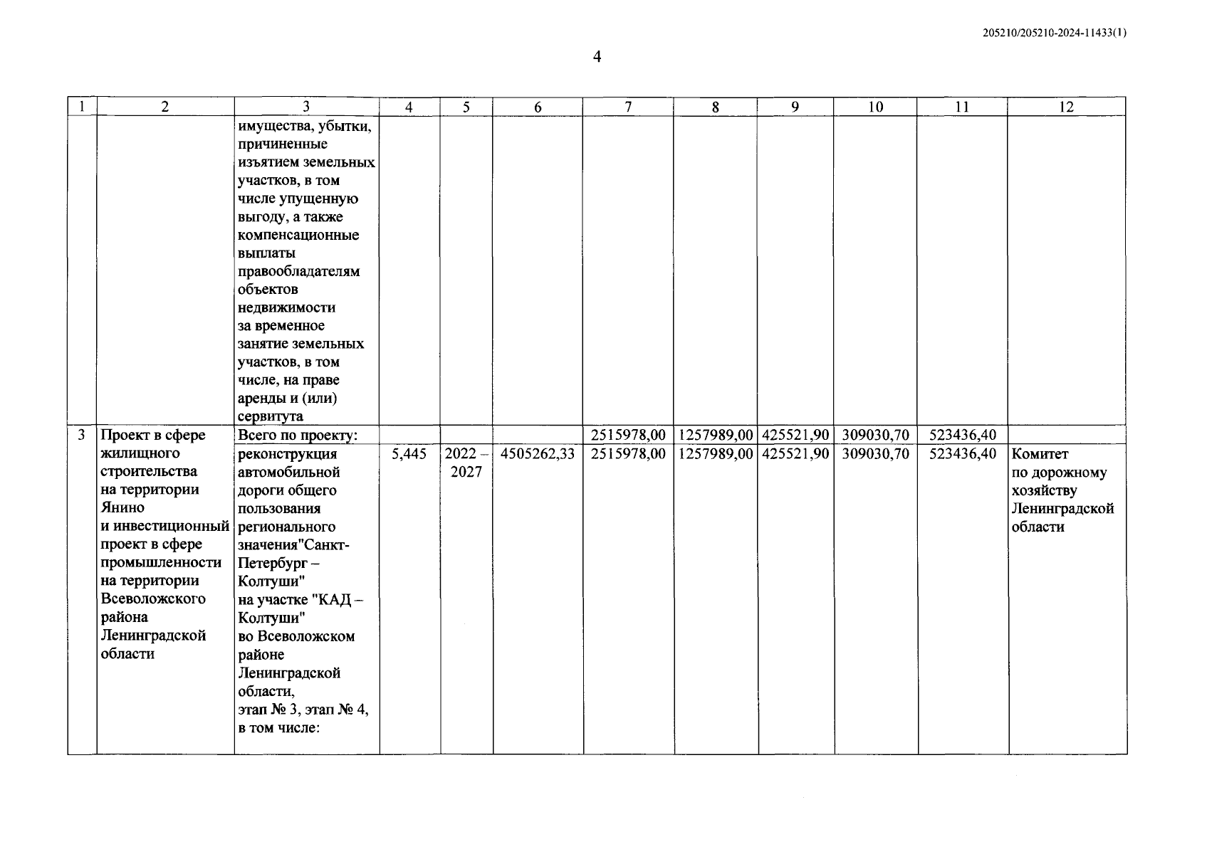
"О внесении изменения в постановление Правительства Ленинградской области от 23 ноября 2021 года № 745 "Об утверждении детализированного перечня мероприятий, реализуемых в рамках инфраструктурных проектов Ленинградской области, отобранных в соответствии с постановлением Правительства Российской Федерации от 14 июля 2021 года № 1189 "Об утверждении Правил отбора инфраструктурных проектов, источником финансового обеспечения расходов на реализацию которых являются бюджетные кредиты из федерального бюджета бюджетам субъектов Российской Федерации на финансовое обеспечение реализации инфраструктурных проектов, и о внесении изменений в Положение о Правительственной комиссии по региональному развитию в Российской Федерации"
Номер опубликования: 4700202412300005
Дата опубликования:
30.12.2024
