Официальное опубликование правовых актов
ОФИЦИАЛЬНОЕ ОПУБЛИКОВАНИЕ
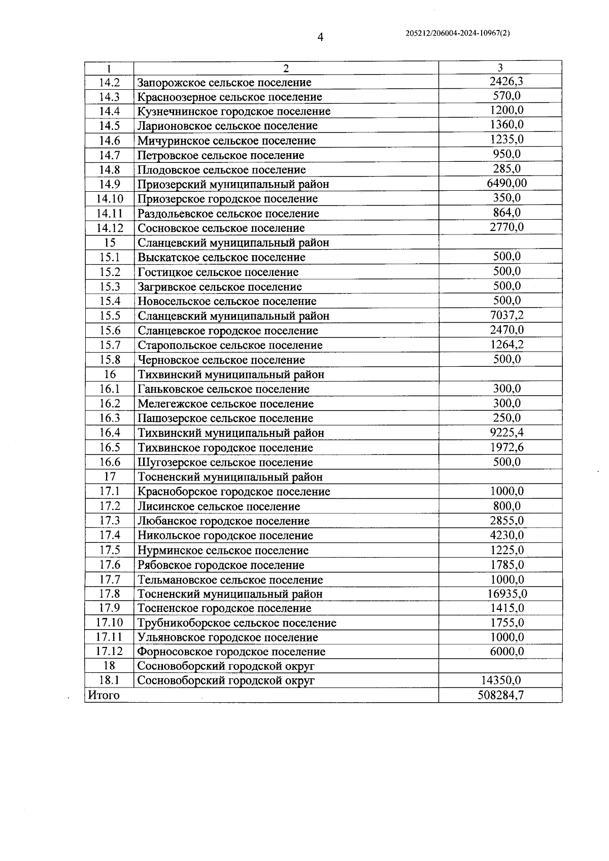
Постановление Правительства Ленинградской области от 23.12.2024 № 960
"О внесении изменений в распределение субсидий и субвенций между муниципальными образованиями Ленинградской области на 2024 год"
Номер опубликования: 4700202412260003
Дата опубликования: 26.12.2024
Страница №11 из 14:
Увеличить