Официальное опубликование правовых актов
ОФИЦИАЛЬНОЕ ОПУБЛИКОВАНИЕ
Постановление Правительства Ленинградской области от 20.11.2024 № 816
"О внесении изменений в Генеральный план муниципального образования "Морозовское городское поселение Всеволожского муниципального района Ленинградской области" в части установления границ населенных пунктов: деревня Ганнибаловка, поселок Дунай, деревня Резвых, деревня Чёрная Речка"
Номер опубликования: 4700202411250013
Дата опубликования: 25.11.2024
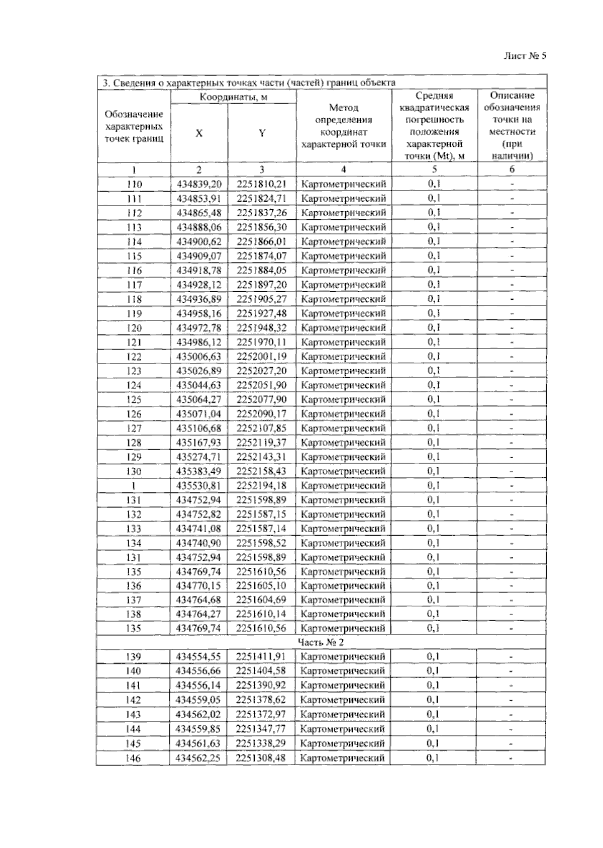
Страница №25 из 35:
Увеличить