Официальное опубликование правовых актов
ОФИЦИАЛЬНОЕ ОПУБЛИКОВАНИЕ
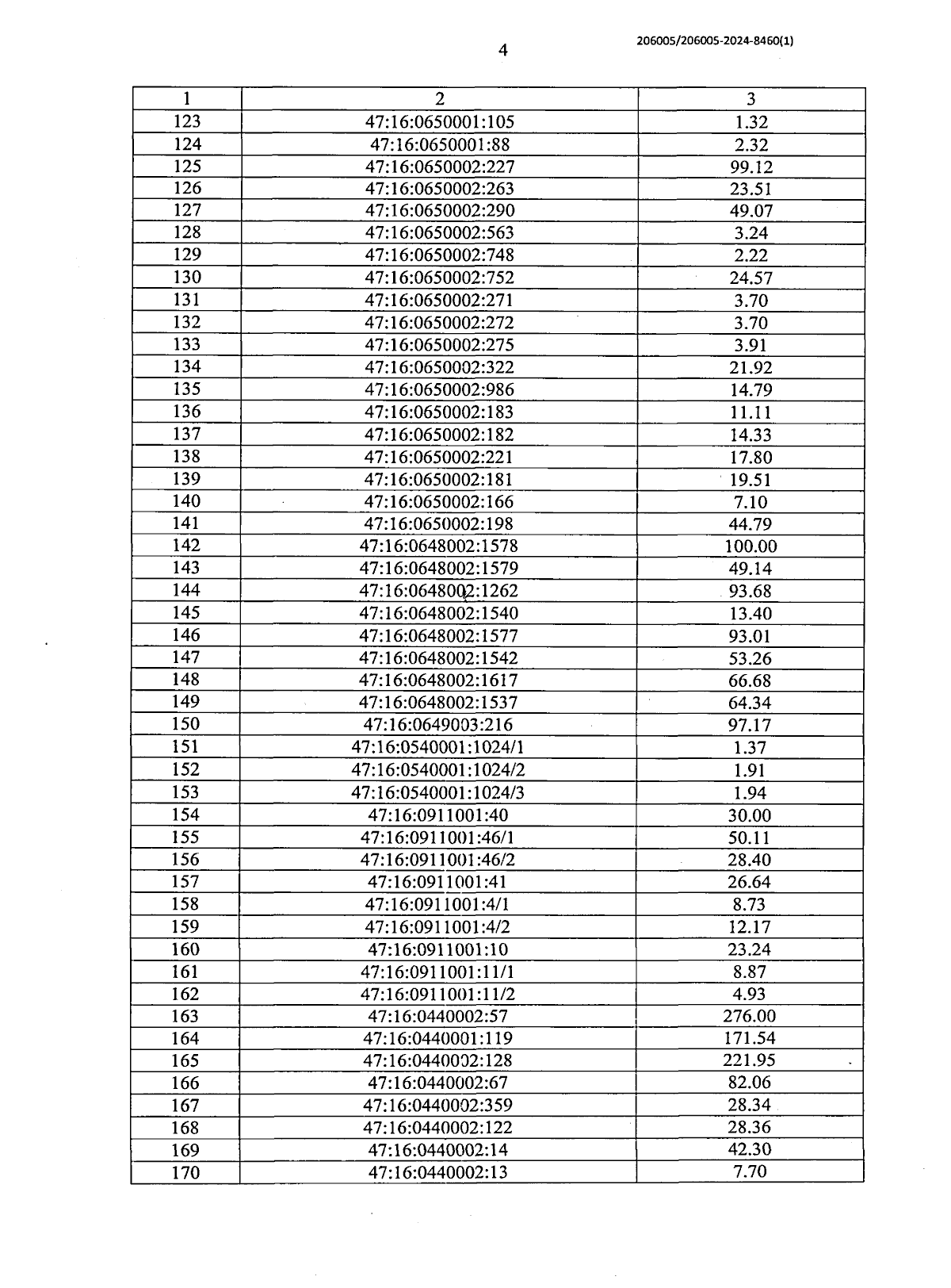
Постановление Правительства Ленинградской области от 30.10.2024 № 737
"О внесении изменения в постановление Правительства Ленинградской области от 17 августа 2011 года № 257 "Об утверждении Перечня особо ценных продуктивных сельскохозяйственных угодий, расположенных на территории Ленинградской области, использование которых для целей, не связанных с ведением сельского хозяйства, не допускается"
Номер опубликования: 4700202411050012
Дата опубликования: 05.11.2024
Страница №5 из 13:
Увеличить