Постановление Правительства Ленинградской области от 04.07.2024 № 460
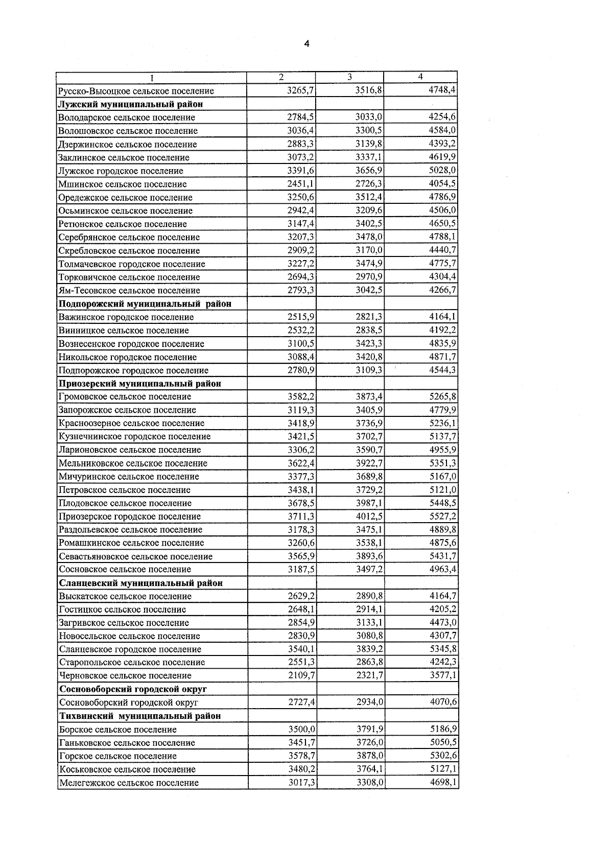
"О размерах региональных стандартов стоимости жилищно-коммунальных услуг в Ленинградской области с 1 июля по 31 декабря 2024 года"
"О размерах региональных стандартов стоимости жилищно-коммунальных услуг в Ленинградской области с 1 июля по 31 декабря 2024 года"
Номер опубликования: 4700202407110003
Дата опубликования:
11.07.2024
