Официальное опубликование правовых актов
ОФИЦИАЛЬНОЕ ОПУБЛИКОВАНИЕ
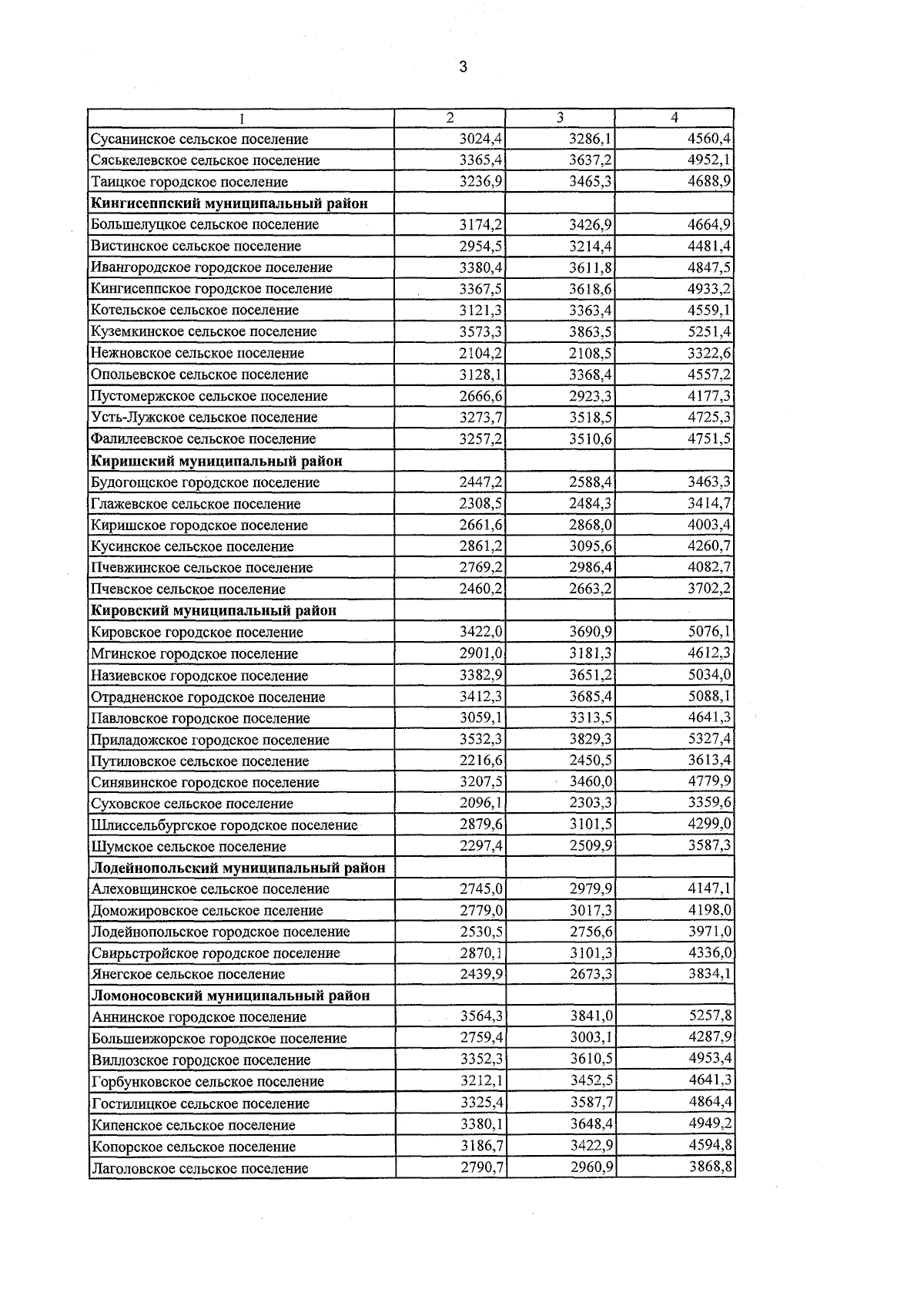
Постановление Правительства Ленинградской области от 04.07.2024 № 460
"О размерах региональных стандартов стоимости жилищно-коммунальных услуг в Ленинградской области с 1 июля по 31 декабря 2024 года"
Номер опубликования: 4700202407110003
Дата опубликования: 11.07.2024
Страница №15 из 17:
Увеличить