Официальное опубликование правовых актов
ОФИЦИАЛЬНОЕ ОПУБЛИКОВАНИЕ
Постановление Правительства Ленинградской области от 29.02.2024 № 137
"О внесении изменений в Генеральный план муниципального образования Пениковское сельское поселение муниципального образования Ломоносовский муниципальный район Ленинградской области"
Номер опубликования: 4700202403050002
Дата опубликования: 05.03.2024
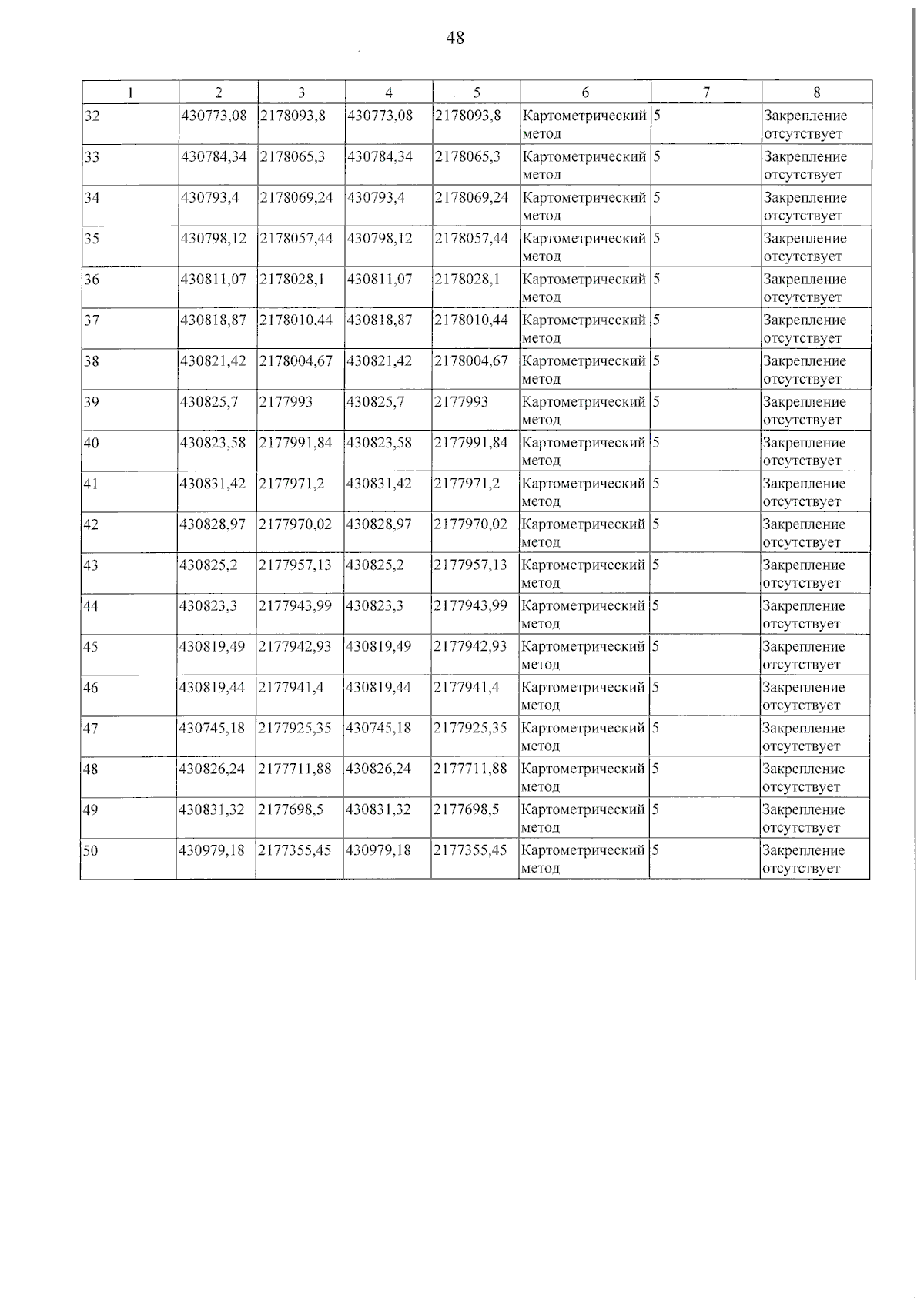
Страница №85 из 168:
Увеличить