Официальное опубликование правовых актов
ОФИЦИАЛЬНОЕ ОПУБЛИКОВАНИЕ
Постановление Правительства Ленинградской области от 21.02.2024 № 122
"О внесении изменений в Генеральный план муниципального образования Любанское городское поселение Тосненского района Ленинградской области"
Номер опубликования: 4700202402240001
Дата опубликования: 24.02.2024
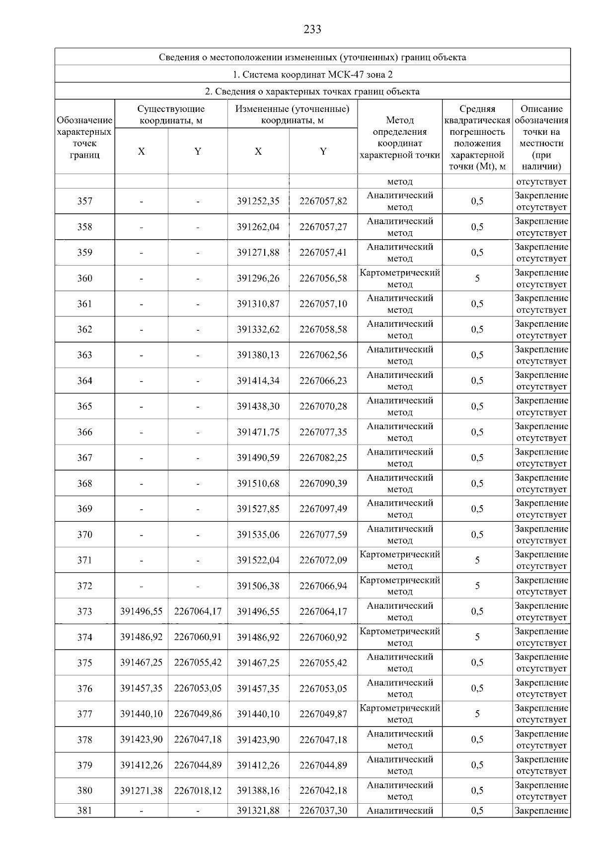
Страница №277 из 491:
Увеличить