Официальное опубликование правовых актов
ОФИЦИАЛЬНОЕ ОПУБЛИКОВАНИЕ
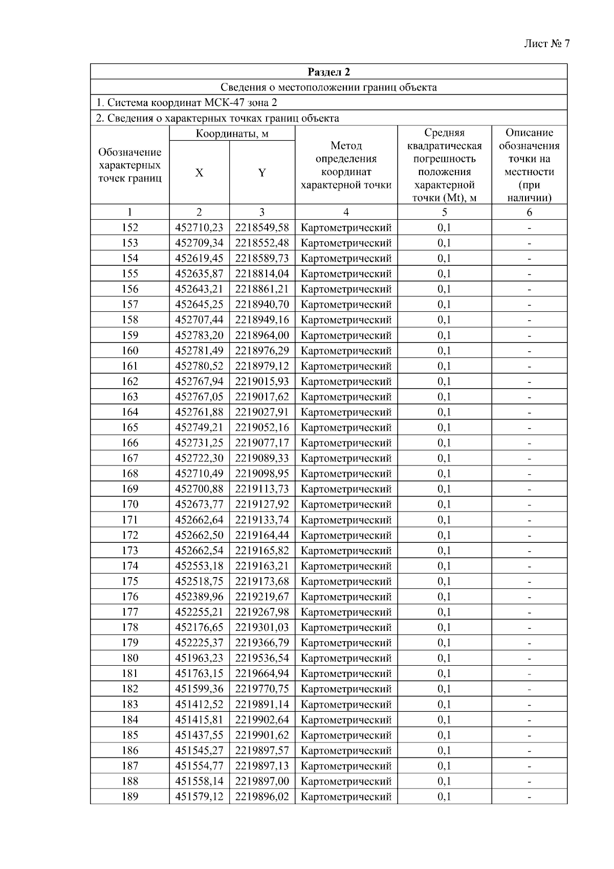
Постановление Правительства Ленинградской области от 17.01.2024 № 18
"О внесении изменений в Генеральный план муниципального образования "Бугровское сельское поселение" Всеволожского муниципального района Ленинградской области в части изменения границы населенного пункта - поселок Бугры"
Номер опубликования: 4700202401230003
Дата опубликования: 23.01.2024
Страница №15 из 21:
Увеличить