Официальное опубликование правовых актов
ОФИЦИАЛЬНОЕ ОПУБЛИКОВАНИЕ
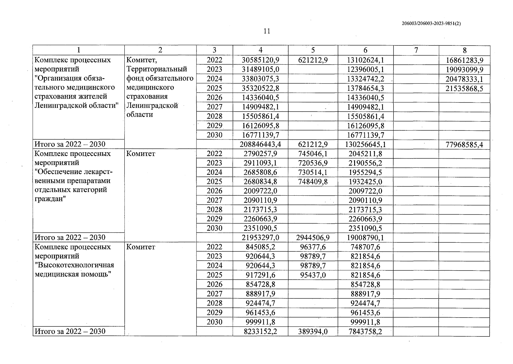
Постановление Правительства Ленинградской области от 29.11.2023 № 836
"О внесении изменений в постановление Правительства Ленинградской области от 14 ноября 2013 года № 405 "Об утверждении государственной программы Ленинградской области "Развитие здравоохранения в Ленинградской области"
Номер опубликования: 4700202312050007
Дата опубликования: 05.12.2023
Страница №12 из 13:
Увеличить