Официальное опубликование правовых актов
ОФИЦИАЛЬНОЕ ОПУБЛИКОВАНИЕ
Постановление Правительства Ленинградской области от 13.11.2023 № 789
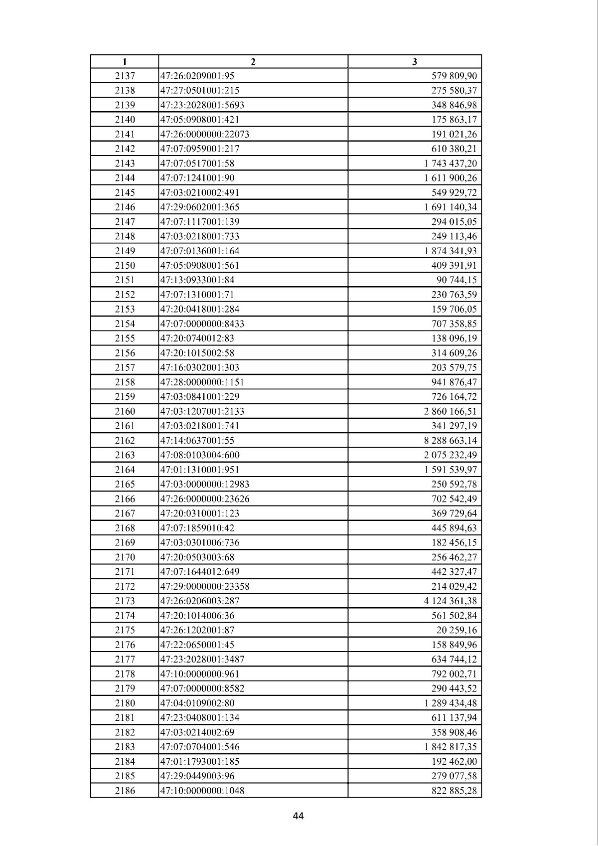
"Об утверждении результатов определения кадастровой стоимости всех учтенных в Едином государственном реестре недвижимости на территории Ленинградской области зданий, помещений, сооружений, объектов незавершенного строительства, машино-мест, за исключением случаев, предусмотренных частью 3 статьи 11 Федерального закона от 3 июля 2016 года № 237-ФЗ "О государственной кадастровой оценке"
Номер опубликования: 4700202311210011
Дата опубликования: 21.11.2023
Страница №46 из 42662:
Увеличить