Официальное опубликование правовых актов
ОФИЦИАЛЬНОЕ ОПУБЛИКОВАНИЕ
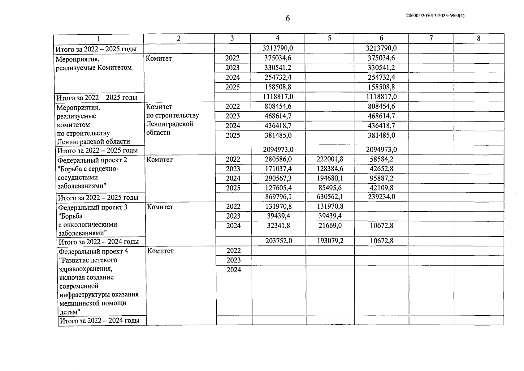
Постановление Правительства Ленинградской области от 13.09.2023 № 632
"О внесении изменений в постановление Правительства Ленинградской области от 14 ноября 2013 года № 405 "Об утверждении государственной программы Ленинградской области "Развитие здравоохранения в Ленинградской области"
Номер опубликования: 4700202309180006
Дата опубликования: 18.09.2023
Страница №7 из 14:
Увеличить