Официальное опубликование правовых актов
ОФИЦИАЛЬНОЕ ОПУБЛИКОВАНИЕ
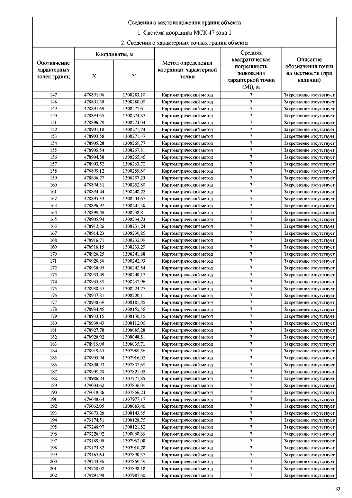
Постановление Правительства Ленинградской области от 24.08.2023 № 589
"Об утверждении Генерального плана муниципального образования "Приморское городское поселение" Выборгского района Ленинградской области"
Номер опубликования: 4700202308290004
Дата опубликования: 29.08.2023
Страница №144 из 313:
Увеличить