Официальное опубликование правовых актов
ОФИЦИАЛЬНОЕ ОПУБЛИКОВАНИЕ
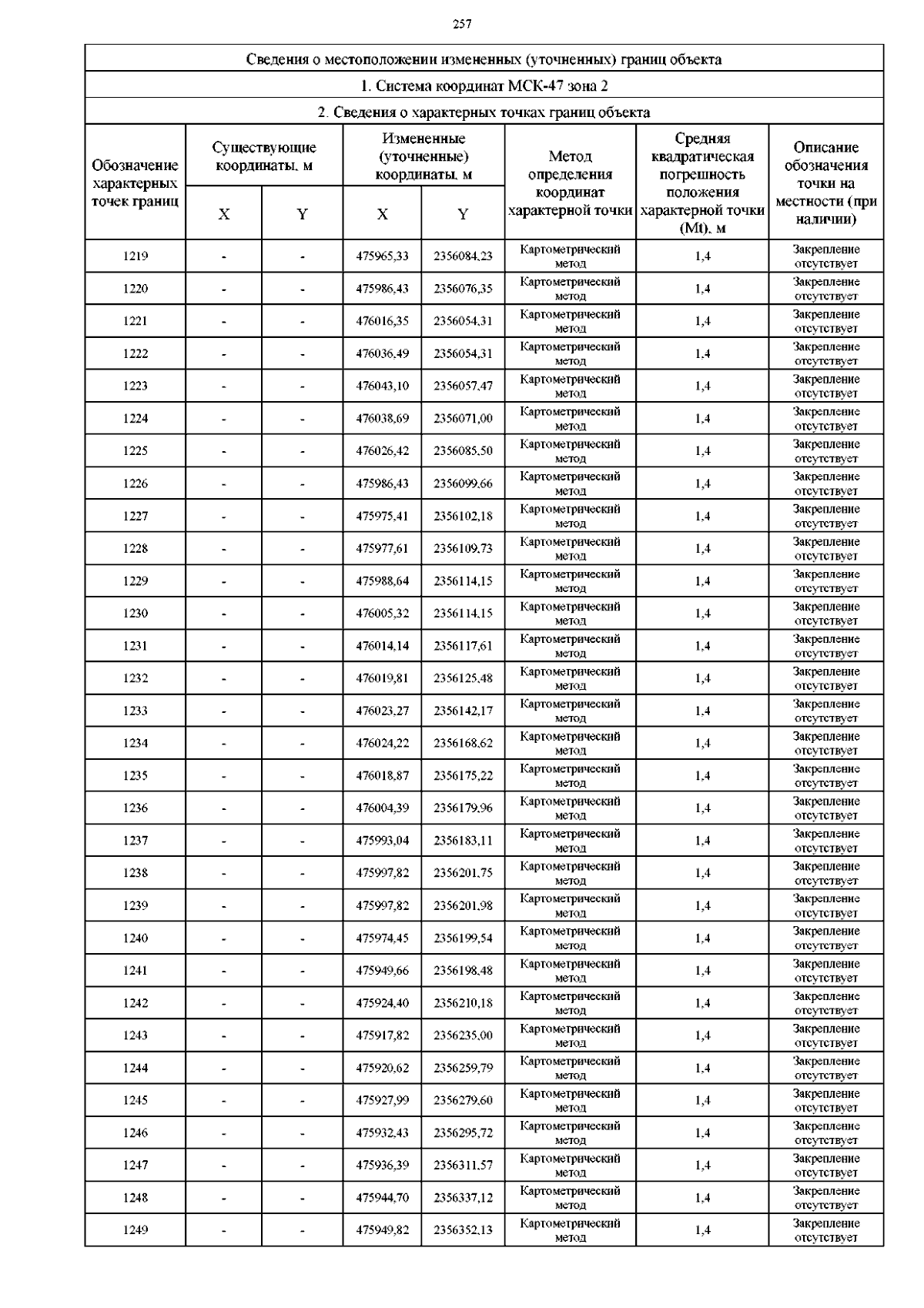
Постановление Правительства Ленинградской области от 15.08.2023 № 565
"О внесении изменений в Генеральный план муниципального образования Потанинское сельское поселение Волховского муниципального района Ленинградской области"
Номер опубликования: 4700202308160002
Дата опубликования: 16.08.2023
Страница №286 из 338:
Увеличить