Официальное опубликование правовых актов
ОФИЦИАЛЬНОЕ ОПУБЛИКОВАНИЕ
Постановление Правительства Ленинградской области от 13.07.2023 № 492
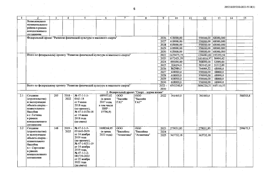
"О внесении изменений в постановление Правительства Ленинградской области от 27 ноября 2015 года № 444 "Об утверждении Перечня объектов и распределения субсидий из областного бюджета Ленинградской области бюджетам муниципальных образований Ленинградской области на реализацию мероприятий по строительству и реконструкции спортивных объектов в рамках государственной программы Ленинградской области "Развитие физической культуры и спорта в Ленинградской области"
Номер опубликования: 4700202307150005
Дата опубликования: 15.07.2023
Страница №8 из 24:
Увеличить