Официальное опубликование правовых актов
ОФИЦИАЛЬНОЕ ОПУБЛИКОВАНИЕ
Постановление Правительства Ленинградской области от 18.05.2023 № 316
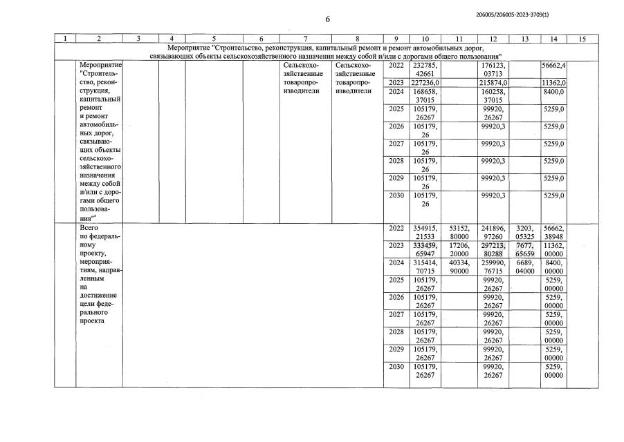
"О внесении изменений в постановление Правительства Ленинградской области от 7 февраля 2020 года № 44 "Об утверждении Перечня объектов и распределения субсидий из областного бюджета Ленинградской области бюджетам муниципальных образований Ленинградской области в рамках государственной программы Ленинградской области "Комплексное развитие сельских территорий Ленинградской области"
Номер опубликования: 4700202305190009
Дата опубликования: 19.05.2023
Страница №7 из 24:
Увеличить