Официальное опубликование правовых актов
ОФИЦИАЛЬНОЕ ОПУБЛИКОВАНИЕ
Постановление Правительства Ленинградской области от 10.02.2023 № 90
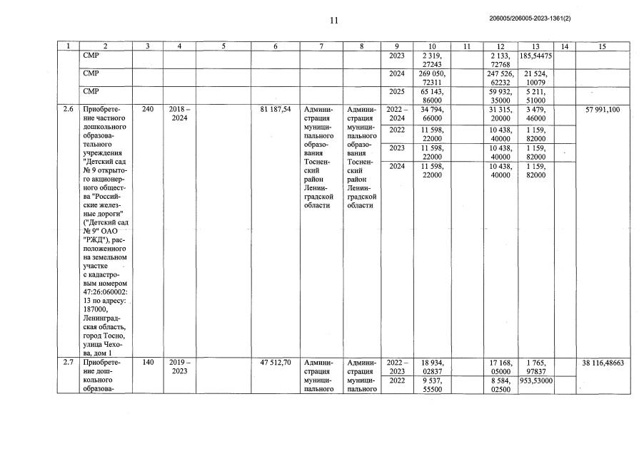
"О внесении изменений в постановление Правительства Ленинградской области от 2 февраля 2022 года № 66 "Об утверждении Перечня объектов и распределения субсидий из областного бюджета Ленинградской области бюджетам муниципальных образований Ленинградской области на строительство, реконструкцию, приобретение и пристрой объектов в рамках подпрограммы "Развитие современного образования в Ленинградской области" государственной программы Ленинградской области "Современное образование Ленинградской области", утвержденной постановлением Правительства Ленинградской области от 14 ноября 2013 года № 398, и о признании утратившими силу отдельных постановлений Правительства Ленинградской области"
Номер опубликования: 4700202302160005
Дата опубликования: 16.02.2023
Страница №13 из 36:
Увеличить