Официальное опубликование правовых актов
ОФИЦИАЛЬНОЕ ОПУБЛИКОВАНИЕ
Постановление Губернатора Ленинградской области от 24.11.2022 № 98-пг
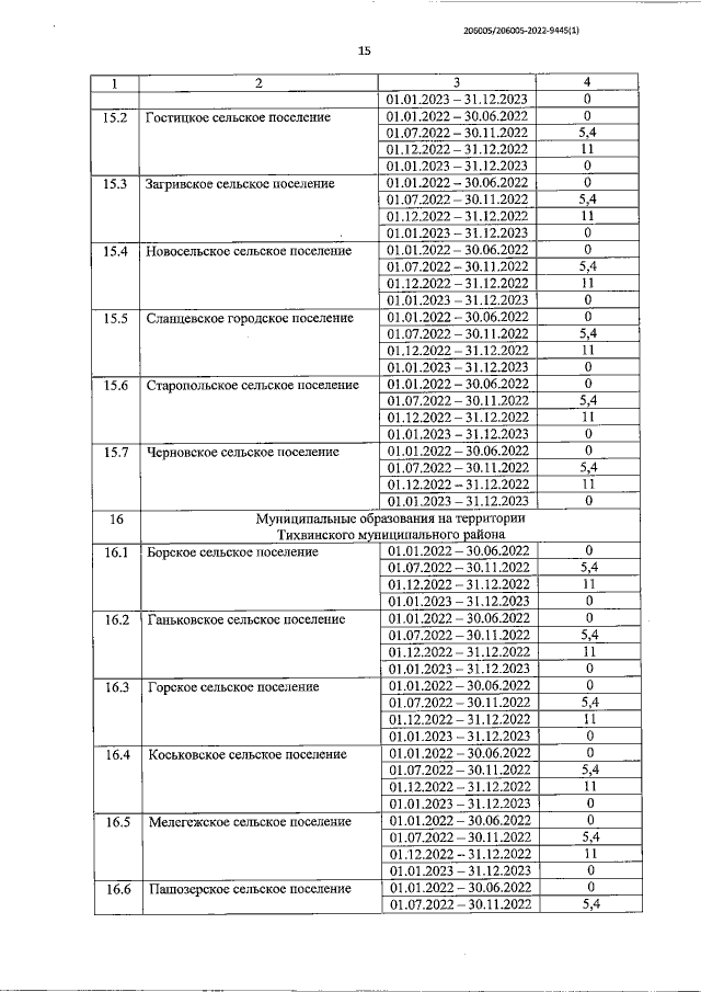
"О внесении изменений в постановление Губернатора Ленинградской области от 14 декабря 2018 года № 73-пг "Об утверждении предельных (максимальных) индексов изменения размера вносимой гражданами платы за коммунальные услуги в муниципальных образованиях Ленинградской области на 2019 – 2023 годы"
Номер опубликования: 4700202211250022
Дата опубликования: 25.11.2022
Страница №17 из 425:
Увеличить