Официальное опубликование правовых актов
ОФИЦИАЛЬНОЕ ОПУБЛИКОВАНИЕ
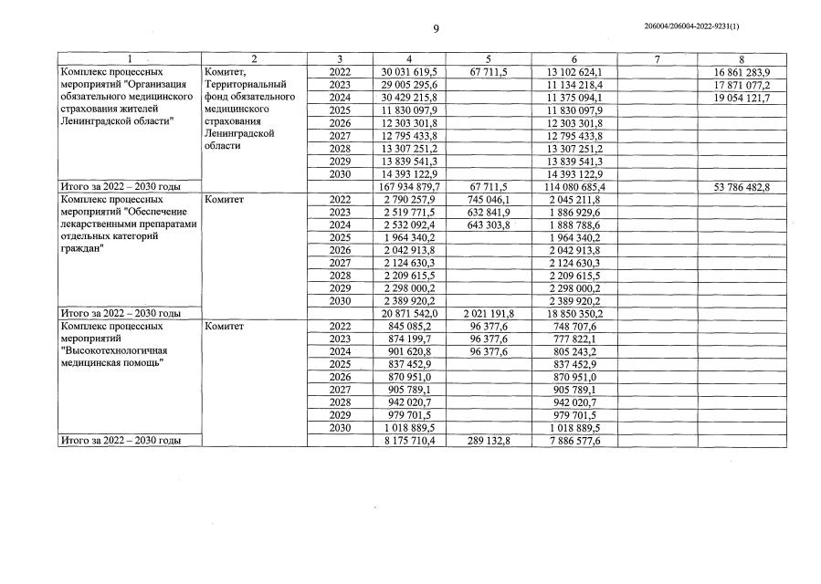
Постановление Правительства Ленинградской области от 17.11.2022 № 827
"О внесении изменений в постановление Правительства Ленинградской области от 14 ноября 2013 года № 405 "Об утверждении государственной программы Ленинградской области "Развитие здравоохранения в Ленинградской области"
Номер опубликования: 4700202211220002
Дата опубликования: 22.11.2022
Страница №10 из 11:
Увеличить